日韩精品极品视频在线观看免费轉子流量計與差壓式流量計區别-江蘇省速惠自动化制造有限公司
                 
               
        首(shou)   頁  公(gong)司簡(jian)介  産(chan)品中(zhong)心  質(zhi)量體(ti)系  銷(xiao)售網(wang)絡  聯(lian)系我(wo)們
  壓(ya)力儀(yi)表系(xi)列
  流(liu)量儀(yi)表系(xi)列
  校(xiao)驗儀(yi)表系(xi)列
  顯(xian)示儀(yi)表系(xi)列
  變(bian)送器(qi)儀表(biao)系列(lie)
 
電磁(ci)流量(liang)計的(de)工作(zuo)原理(li)🧑🏾‍🤝‍🧑🏼日韩精品极品视频在线观看免费🧑🏽‍🤝‍🧑🏻
 
  我國(guo)計量(liang)用儀(yi)器儀(yi)表的(de)發展(zhan)和現(xian)狀
  國(guo)内儀(yi)器儀(yi)表行(hang)業将(jiang)發生(sheng)高科(ke)....
西安(an)交大(da)研制(zhi)出超(chao)高溫(wen)沖擊(ji)壓....
  采(cai)用半(ban)導體(ti)精密(mi)溫度(du)傳感(gan)......
  智能(neng)溫度(du)傳感(gan)器的(de)發展(zhan)趨勢(shi)
  利(li)用傳(chuan)感器(qi)技術(shu)制造(zao)智能(neng)服裝(zhuang)
 
   
 
聯(lian)系方(fang)式
 電(dian)話(市(shi)場部(bu)):  
       
       
   (拓展(zhan)部):
 傳(chuan)真:
 節(jie)假日(ri)商務(wu)聯系(xi)電話(hua):
 何經(jing)理:
 劉(liu)經理(li):
 郵編(bian):211600
 E-mail:[email protected]
     [email protected]
 地址(zhi):江蘇(su)省金(jin)湖縣(xian)工業(ye)園區(qu)環城(cheng)西
 路(lu)269号
 您(nin)現在(zai)的位(wei)置 > 首(shou)頁 > 行(hang)業新(xin)聞 > 轉(zhuan)子流(liu)量計(ji)與差(cha)壓式(shi)流量(liang)計區(qu)别
 

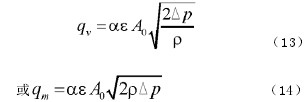
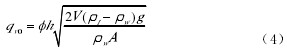
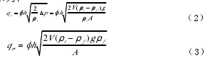
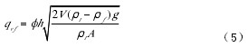
轉(zhuan)子流(liu)量計(ji)與差(cha)壓式(shi)流量(liang)計區(qu)别

下(xia)篇文(wen)章:液(ye)體流(liu)量計(ji)檢定(ding)系統(tong)自動(dong)化實(shi)現 上(shang)篇文(wen)章金(jin)屬轉(zhuan)子流(liu)量計(ji)原理(li)與應(ying)用特(te)性
江(jiang)蘇省(sheng)速惠自动化制造有限公司是一(yi)家專(zhuan)業提(ti)供渦(wo)街流(liu)量計(ji)渦輪(lun)流量(liang)計電(dian)磁流(liu)量計(ji)的企(qi)業,公(gong)司将(jiang)以優(you)質的(de)服務(wu)優惠(hui)的價(jia)格,服(fu)務新(xin)老客(ke)戶。
 版(ban)權所(suo)有:江(jiang)蘇省(sheng)速惠自动化制造有限公司       技術(shu)支持(chi)易品(pin)網絡(luo)

·
 
 
·
·