国产成人免费视频 流量計在市政環保中應用與發展-江蘇省速惠自动化制造有限公司
               
                   
      首   頁│  公(gong)司簡介(jie)  産品中(zhong)心  質量(liang)體系  銷(xiao)售網絡(luo)  聯系我(wo)們
 
  壓力(li)儀表系(xi)列
  流量(liang)儀表系(xi)列
  校驗(yan)儀表系(xi)列
  顯示(shi)儀表系(xi)列
  變送(song)器儀表(biao)系列
  電(dian)線電纜(lan)系列
 
  電(dian)磁👌国产成人免费视频🙇‍♀️流量(liang)計的工(gong)作原理(li)
  氧化锆(gao)氧傳感(gan)器的原(yuan)理及應(ying)用
 
  我(wo)國計量(liang)用儀器(qi)儀表的(de)發展和(he)現狀
  國(guo)内儀器(qi)儀表行(hang)業将發(fa)生高科(ke)....
西安交(jiao)大研制(zhi)出超高(gao)溫沖擊(ji)壓....
  采用(yong)半導體(ti)精密溫(wen)度傳感(gan)......
  智能溫(wen)度傳感(gan)器的發(fa)展趨勢(shi)
  簡述幾(ji)種氣體(ti)檢測傳(chuan)感器.....
  利(li)用傳感(gan)器技術(shu)制造智(zhi)能服裝(zhuang)
  新型傳(chuan)感器監(jian)控魚群(qun)數量
 
 
聯(lian)系方式(shi)
  電話(市(shi)場部):  
      
      
   (拓(tuo)展部):
     傳(chuan)真:
  節假(jia)日商務(wu)聯系電(dian)話:
  何經(jing)理:
  劉經(jing)理:
  郵編(bian):211600
    http://banyunshe.cc/
 E-mail:[email protected]
 地(di)址:江蘇(su)省金湖(hu)縣工業(ye)園區環(huan)城西
 路(lu)269号
  時間(jian):2023-3-14 08:14:52

電磁流(liu)量計測(ce)得值的(de)不确定(ding)度評定(ding)

摘要:爲(wei)保證電(dian)磁流量(liang)計 在測(ce)量過程(cheng)中受液(ye)體溫度(du)、壓力、流(liu)量等參(can)數影響(xiang)下測得(de)💚值🈲的正(zheng)确、可靠(kao),因此測(ce)得值的(de)不确定(ding)度評⁉️定(ding)十分重(zhong)要。本💞文(wen)依據國(guo)家檢定(ding)規程JJG1033-2007《電(dian)磁流量(liang)計》,選取(qu)靜态容(rong)積法水(shui)流量标(biao)準裝置(zhi)爲⛱️測量(liang)裝置,以(yi)DN100的電磁(ci)流量計(ji)爲例✍️,進(jin)行測得(de)👉值的不(bu)确定度(du)分析與(yu)評定。
0引(yin)言
  電磁(ci)流量計(ji)是一種(zhong)基于法(fa)拉第電(dian)磁感應(ying)定律的(de)流量計(ji),廣泛應(ying)用于導(dao)電液體(ti)的體積(ji)流量測(ce)量。[1]随着(zhe)技術的(de)發展🍉,電(dian)磁♈流量(liang)計的測(ce)量精度(du)得到了(le)很大的(de)提升。爲(wei)保證電(dian)磁流量(liang)計在測(ce)量過程(cheng)中受液(ye)體溫度(du)、壓🧡力、流(liu)量等參(can)數影響(xiang)下測得(de)值的正(zheng)确、可靠(kao),現對電(dian)磁流量(liang)計的測(ce)✊得值進(jin)行不确(que)定度評(ping)定⭐。
1檢測(ce)方法
  依(yi)據國家(jia)檢定規(gui)程JJG1033-2007《電磁(ci)流量計(ji)》,使用靜(jing)态容積(ji)法水流(liu)量标準(zhun)裝置(U=0.05%,k=2)對(dui)電磁流(liu)量計的(de)示值誤(wu)差進行(hang)檢測。
  本(ben)文以一(yi)台精度(du)等級爲(wei)0.2級、口徑(jing)爲DN100,量程(cheng)範圍爲(wei)(14.0~140.0)m3/h的電磁(ci)流量💞計(ji)爲例進(jin)行評定(ding)。
2測量模(mo)型簡述(shu)
2.1測量模(mo)型
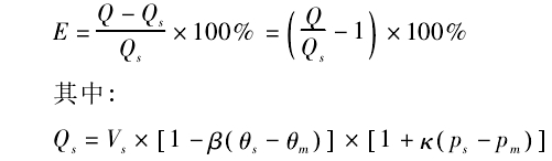
  電磁(ci)流量計(ji)的示值(zhi)誤差(相(xiang)對示值(zhi)誤差)計(ji)算公式(shi)爲:
 
式中(zhong):E一被檢(jian)定檢流(liu)量計的(de)相對示(shi)值誤差(cha),%;
Q一被檢(jian)定流量(liang)計顯示(shi)的累積(ji)流量值(zhi),m3;
Qs一檢定(ding)時标準(zhun)器換算(suan)到流量(liang)計處狀(zhuang)态的累(lei)積流🏃🏻‍♂️量(liang)值👨‍❤️‍👨,m3;
Vs一标(biao)準器測(ce)得的液(ye)體實際(ji)體積(測(ce)量值取(qu)3.0003m3),m3;
β一檢定(ding)用液體(ti)在檢定(ding)狀态下(xia)的體膨(peng)脹系數(shu)(取2.1x10-4℃-1),℃-1;
Θ一檢(jian)定時标(biao)準器處(chu)的液體(ti)溫度(測(ce)量值取(qu)18.0℃),℃;
Θ一檢定(ding)時流量(liang)計處的(de)液體溫(wen)度(測量(liang)值取18.5℃),℃;
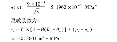
K一(yi)檢定用(yong)液體在(zai)檢定狀(zhuang)态下的(de)壓縮系(xi)數(取4.5x10-4MPa-1),MPa-1
Ps一(yi)檢定時(shi)标準器(qi)處的液(ye)體壓力(li)(測量值(zhi)取0MPa),MPa;
pm一檢(jian)定時流(liu)量計處(chu)的液體(ti)壓力(測(ce)量值取(qu)0.12MPa),MPa。
2.2靈敏系(xi)數
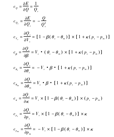
  由測(ce)量模型(xing)求得靈(ling)敏系數(shu):
 
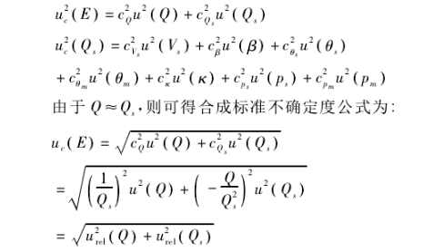
2.3示值誤(wu)差的合(he)成标準(zhun)不确定(ding)度
  根據(ju)方差和(he)傳播律(lü)可得:
 
3标(biao)準不确(que)定度分(fen)析
  示值(zhi)誤差的(de)不确定(ding)度來源(yuan)主要由(you):(1)被檢電(dian)磁流量(liang)計顯示(shi)流量Q測(ce)量重複(fu)性引入(ru)的不确(que)定度;
(2)标(biao)準器流(liu)量Qs引入(ru)的不确(que)定度。
  其(qi)中,标準(zhun)器Qs引入(ru)的不确(que)定度甲(jia)主要來(lai)源于:(1)水(shui)流❌量✔️标(biao)🔴準裝🥵置(zhi)引入的(de)标準不(bu)确定度(du),包括裝(zhuang)置引入(ru)的不确(que)定度以(yi)🔞及裝🔞置(zhi)流量穩(wen)定性引(yin)入的不(bu)确定度(du);(2)檢測液(ye)體的體(ti)膨脹系(xi)數引入(ru)的标♌準(zhun)不确定(ding)度㊙️;(3)液體(ti)溫度✔️引(yin)入的标(biao)準不确(que)定度,包(bao)括被🙇‍♀️檢(jian)流量計(ji)🛀🏻處的液(ye)體溫👣度(du)以及标(biao)準器處(chu)的液體(ti)溫度;(4)檢(jian)測液體(ti)的體積(ji)壓縮🈲系(xi)數引入(ru)的标準(zhun)不确定(ding)度;(5)液體(ti)壓力引(yin)入的标(biao)準不确(que)定度,包(bao)括被檢(jian)流量計(ji)處的液(ye)體壓力(li)以及标(biao)準器處(chu)的液體(ti)壓力。
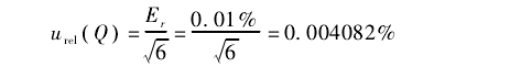
4被(bei)檢電磁(ci)流量計(ji)顯示流(liu)量Q測量(liang)重複性(xing)引入的(de)不💃🏻确定(ding)💰度
 
  本次(ci)試驗選(xuan)取的被(bei)檢流量(liang)計爲0.2級(ji)DN100的電磁(ci)流量計(ji),以最大(da)流量點(dian)qmx=140m3/h爲例,其(qi)測量數(shu)據如表(biao)1所示。根(gen)據貝塞(sai)爾公式(shi)🎯計算重(zhong)複性可(ke)得Er=0.01%。由于(yu)在重複(fu)性條件(jian)下實際(ji)測量了(le)6次,以6次(ci)的測量(liang)算術平(ping)均🔞值爲(wei)測得值(zhi),則顯示(shi)流量Q測(ce)量重🚶複(fu)性引入(ru)的相對(dui)标準不(bu)确定度(du)爲:
 
5标準(zhun)器流量(liang)Qs引入的(de)不确定(ding)度
5.1水流(liu)量标準(zhun)裝置的(de)不确定(ding)度
5.1.1裝置(zhi)引入的(de)不确定(ding)度
  由标(biao)準裝置(zhi)檢定證(zheng)書可知(zhi),水流量(liang)标準裝(zhuang)置的相(xiang)對不确(que)定度:
Urel=O.05%(k=2).
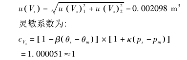
則(ze):urel(Vs)1=0.025%
  以測量(liang)值Vs=3.0003m3爲例(li),則流量(liang)标準裝(zhuang)置引入(ru)的标準(zhun)不确定(ding)度🥵:
u(Vs)1=urel(Vs)1·Vs=0.0007501m3
5.1.2裝置(zhi)流量穩(wen)定性引(yin)入的不(bu)确定度(du)
  在測量(liang)過程中(zhong),裝置的(de)流量穩(wen)定性對(dui)單次測(ce)量時間(jian)以🧑🏾‍🤝‍🧑🏼及單(dan)✌️次測量(liang)标準器(qi)的實際(ji)累積體(ti)積有影(ying)響。因此(ci)應考慮(lü)流量穩(wen)定性㊙️對(dui)測得值(zhi)的影響(xiang)。以最大(da)流量點(dian)qmax、=140m3/h爲例,進(jin)行各累(lei)👄計時間(jian)之間的(de)流量穩(wen)定性試(shi)驗,連續(xu)測量10次(ci),其📧測量(liang)數據📱如(ru)表2所示(shi)。
 
  根據JJG164-2000求(qiu)得流量(liang)平均值(zhi)q=137.528m3/h,各累計(ji)時間流(liu)量穩定(ding)性Eq=0.16%。按三(san)🈲角分布(bu)計算,則(ze)流量穩(wen)定性引(yin)入的相(xiang)對标準(zhun)不确定(ding)度爲:
Urel(Vs)2=0.16%/√6=0.06532%
  根(gen)據Vs=3.0003m3,則流(liu)量穩定(ding)性引入(ru)的标準(zhun)不确定(ding)度爲:
u(Vs)2=urel(Vs)2·Vs=0.001960m3
  得(de)水流量(liang)标準裝(zhuang)置引入(ru)的标準(zhun)不确定(ding)度爲:
 
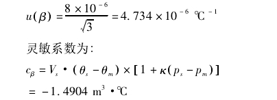
5.2檢(jian)測:液體(ti)的體膨(peng)脹系數(shu)的标準(zhun)不确定(ding)度
  檢測(ce)液體爲(wei)清潔水(shui),由于試(shi)驗時的(de)水溫變(bian)化不.超(chao)過±0.5℃。經查(cha)相關手(shou)冊,可得(de)檢測液(ye)體的體(ti)膨脹系(xi)數的變(bian)化量±8x10-6℃-1。按(an)均勻分(fen)布計算(suan),則:
 
5.3液體(ti)溫度的(de)标準不(bu)确定度(du)
  液體溫(wen)度測量(liang)設備均(jun)爲溫度(du)變送器(qi),其最大(da)允許誤(wu)差均爲(wei)±0.1℃,按均勻(yun)分布計(ji)算,則:
 
5.4檢(jian)測液體(ti)的體積(ji)壓縮系(xi)數引入(ru)的标準(zhun)不确定(ding)度
  檢測(ce)液體爲(wei)清潔水(shui),由于試(shi)驗時的(de)水壓的(de)最大變(bian)化量不(bu)超過0.2MPa。經(jing)查相關(guan)手冊,可(ke)得檢測(ce)液體的(de)體積壓(ya)縮系數(shu)的變化(hua)量±9x10-5MPa-1。按均(jun)勻分布(bu)計算,則(ze):
 
5.5液體壓(ya)力引入(ru)的标準(zhun)不确定(ding)度
  液體(ti)壓力測(ce)量設備(bei)均爲壓(ya)力變送(song)器,其最(zui)大量程(cheng)🔞爲1.6MPa,精❌度(du)等級爲(wei)0.5級,則最(zui)大允許(xu)誤差爲(wei)±0.008MPa,按均勻(yun)分布㊙️計(ji)算✏️,則:
 
5.6Qs的(de)不确定(ding)度概算(suan)
  根據上(shang)述各不(bu)确定度(du)分量的(de)分析,其(qi)計算數(shu)據.如表(biao)3所示。
 
 
6電(dian)磁流量(liang)計的示(shi)值誤差(cha)的測量(liang)不确定(ding)度
  根據(ju)示值誤(wu)差E的合(he)成标準(zhun)不确定(ding)度公式(shi),計算合(he)成标準(zhun)不确定(ding)度爲:
 
7結(jie)語
  不确(que)定度是(shi)用來表(biao)征測得(de)值分散(san)性或不(bu)可确定(ding)🌈程度🌏的(de)💃🏻一個定(ding)量參數(shu),主要用(yong)于判斷(duan)測得值(zhi)的可💞靠(kao)程度。通(tong)過以上(shang)分析計(ji)算,該電(dian)磁流量(liang)計在qmax=140m3/h測(ce)量點下(xia)的擴展(zhan)不💁确定(ding)度🌈爲:
U(E)=0.14%(k=2)
  在(zai)流量、壓(ya)力、溫度(du)等不同(tong)條件下(xia),均應對(dui)測得值(zhi)的不确(que)㊙️定度進(jin)行重新(xin)計算;本(ben)次不确(que)定度評(ping)定選取(qu)的是靜(jing)态容積(ji)法水流(liu)量标準(zhun)裝置,如(ru)選用靜(jing)态質量(liang)法水流(liu)量标準(zhun)裝置🔆,則(ze)該電磁(ci)流量計(ji)測得值(zhi)的不确(que)定度也(ye)需重新(xin)評定,從(cong)而保證(zheng)測得值(zhi)不确定(ding)👣度評定(ding)的正确(que)。

本文來(lai)源于網(wang)絡,如有(you)侵權聯(lian)系即删(shan)除!


下篇(pian)文章: 浮(fu)子流量(liang)傳感器(qi)粘度影(ying)響研究(jiu) 上篇文(wen)章: 流量(liang)計在市(shi)政環保(bao)中應用(yong)與發展(zhan)
 
江蘇省(sheng)速惠自动化制造有限公司是一家(jia)專業提(ti)供 渦街(jie)流量計(ji) 渦輪流(liu)量計 電(dian)磁流量(liang)計 的企(qi)業,公司(si)将以優(you)質的服(fu)務優惠(hui)的價格(ge),服務新(xin)老客戶(hu)。
 版權所(suo)有:江蘇(su)省速惠自动化制造有限公司       技術(shu)支持易(yi)品網絡(luo)

 
·