|
電(dian)磁流量計(ji)不同信号(hao)輸出差異(yi)淺析
發布(bu)時間:2025-11-27 08:25:45
|
摘要(yao):電磁流量(liang)計
測得的(de)流量值可(ke)通過不同(tong)形式模拟(ni)信号輸出(chu),按照JJC1033-2007《電磁(ci)流量計》檢(jian)定規程、JB/T9248-2015《電(dian)磁流量計(ji)》機械行業(ye)标💋準對輸(shu)出信号的(de)相關要求(qiu),選取某同(tong)一電磁流(liu)量計的不(bu)🏃🏻同輸出信(xin)号分别進(jin)行🌈檢測,并(bing)對檢測結(jie)果📧進行分(fen)析,以期對(dui)電磁流量(liang)計用戶實(shi)際🐆使用及(ji)檢測人員(yuan)的檢測時(shi)不同輸出(chu)信号的選(xuan)取提供參(can)考。
0引言
目(mu)前多數電(dian)磁流量計(ji)都設計有(you)輸出的電(dian)信号。常🏃♀️用(yong)的電信号(hao)輸出又分(fen)爲脈沖(頻(pin)率)輸出和(he)(4~20)mA電流輸出(chu)。這兩種電(dian)信号輸✏️出(chu)己作爲儀(yi)表行業的(de)基本規定(ding)和要求。方(fang)便行業的(de)自動化👅生(sheng)産,特别是(shi)在新建💜或(huo)是替換配(pei)件的過程(cheng)中,以便接(jie)入控制系(xi)統,從而實(shi)現生産利(li)益最大化(hua)。電磁流量(liang)計的傳感(gan)器在測㊙️量(liang)導電液體(ti)流動時産(chan)生感應電(dian)動勢信号(hao),轉換器将(jiang)感應電動(dong)勢信号轉(zhuan)換😍成與流(liu)量計流量(liang)值成正🙇🏻比(bi)的模拟信(xin)号,并輸出(chu)到采集端(duan)。按照JB/T9248-2015《電磁(ci)流量計》機(ji)械行業标(biao)準對電磁(ci)流量計對(dui)模拟輸出(chu)信号的要(yao)求,流量計(ji)可采🌏用直(zhi)流電流輸(shu)出信号、頻(pin)率輸出信(xin)号、脈沖輸(shu)🔴出信号。這(zhe)些🏃♀️信号應(ying)該均能正(zheng)确反映🚩電(dian)磁流量計(ji)的實際測(ce)量值。通過(guo)長期檢測(ce)工作發現(xian),對于具有(you)多種信号(hao)輸出的流(liu)🔞量計🍉,不同(tong)的輸出信(xin)号,得出的(de)檢測結👅果(guo)卻不盡相(xiang)同🈲,這對電(dian)磁流量🔴計(ji)計量性能(neng)的判别💘帶(dai)來争議風(feng)險。
本文按(an)照JJG1033-2007《電磁流(liu)量計》檢定(ding)規程中對(dui)輸出信号(hao)選❗取的相(xiang)關要求,選(xuan)取某電磁(ci)流量計進(jin)行不同輸(shu)出☂️信号👈下(xia)的示值✏️誤(wu)差試驗,并(bing)對測量結(jie)果進行分(fen)析💚,以期對(dui)電磁流量(liang)計使用及(ji)檢測時輸(shu)🚶出信号的(de)優選給出(chu)一🍉點參考(kao)。
1電流、脈沖(chong)測量方法(fa)差異性試(shi)驗方法
1.1試(shi)驗方法
本(ben)次試驗采(cai)用靜态容(rong)量法水流(liu)量标準裝(zhuang)置,本次選(xuan)用的儀⛹🏻♀️表(biao)口徑爲DN100,編(bian)号爲10019251的電(dian)磁流量計(ji)。選取的該(gai)流🛀🏻量計🌈很(hen)有代表性(xing),該流量計(ji)爲某客戶(hu)固定每年(nian)送檢的流(liu)量計,通過(guo)對曆年檢(jian)測記錄的(de)對比發現(xian)計量性👣能(neng)較爲穩定(ding)。本次實驗(yan)對該流量(liang)計電流信(xin)号及脈沖(chong)信号進行(hang)對比分析(xi)。在符合規(gui)定的環⭐境(jing)條件下,按(an)🐕JJG1033-2007《電磁流量(liang)計檢定🚩規(gui)程》,将電磁(ci)流量計安(an)裝在水🏒流(liu)量标準裝(zhuang)置上,使其(qi)與标準裝(zhuang)置的管道(dao)同心保持(chi)--緻,檢測☁️前(qian)保證電磁(ci)流量計接(jie)地良好,和(he)接線端子(zi)連接無誤(wu)⛷️。以水爲介(jie)質,通水測(ce)試,确認被(bei)檢流量計(ji)和管線均(jun)無洩露後(hou),調整被檢(jian)流量計零(ling)點,檢查流(liu)量計的密(mi)封性👈。把流(liu)量調到最(zui)大的流量(liang)值,等待流(liu)量、溫度和(he)壓💋力穩定(ding)後,在相同(tong)時間内同(tong)時讀取被(bei)檢這一台(tai)流量計和(he)标準容器(qi)信号并記(ji)錄,分别測(ce)量140m'/h、70m3/h、14m3/h三個流(liu)量點,每個(ge)點各校準(zhun)3次,取檢♊測(ce)結果平均(jun)值。
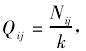
1.2脈沖信(xin)号檢測測(ce)量模型
式(shi)中:Nij--第i檢定(ding)點第j次檢(jian)定被檢流(liu)量計所輸(shu)出的脈沖(chong)數;
k---流量計(ji)k系數,單位(wei)體積的流(liu)體流過流(liu)量計時流(liu)量❤️計發出(chu)的脈沖數(shu),應由流量(liang)計說明書(shu)或銘牌中(zhong)獲得;若制(zhi)造廠有其(qi)他規定🔞,應(ying)按流量計(ji)說明書規(gui)定計算。
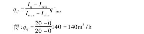
式(shi)中:Iij一第i檢(jian)定點第j次(ci)檢定時流(liu)量計輸出(chu)信号的瞬(shun)時值,可爲(wei)--次試驗過(guo)程中多次(ci)測得的.平(ping)均值;
Imax一流(liu)量計輸出(chu)信号範圍(wei)的.上限值(zhi),該值應從(cong)流量計說(shuo)明書⭐或銘(ming)牌中獲得(de);
Imin一流量計(ji)輸出信号(hao)範圍的下(xia)限值,該值(zhi)應.從流量(liang)計說🥵明書(shu)或銘牌中(zhong)獲得;
q′max一流(liu)量計在m輸(shu)出時對應(ying)的流量,m3/h。
2.電(dian)流、脈沖的(de)檢測值試(shi)驗結果(見(jian)表1、表2)
3電流(liu)、脈沖的檢(jian)測值試驗(yan)結果分析(xi)
由表3得出(chu),在140m3/h、70m3/h、14m3/h三個流(liu)量點下脈(mo)沖(頻率)輸(shu)出和(4~20)mA電流(liu)輸出方式(shi)不同對流(liu)量計的所(suo)體現的誤(wu)差也不一(yi)樣。可以看(kan)到此次試(shi)驗電流信(xin)号輸出要(yao)比脈沖輸(shu)出誤差要(yao)偏大0.3%以上(shang)。
從表4得出(chu),此次試驗(yan)(4~20)mA電流輸出(chu)重複性大(da)于脈沖(頻(pin)率)輸出重(zhong)複性,重複(fu)性普遍偏(pian)大0.10%以上。
在(zai)選擇使用(yong)(4~20)mA電流輸出(chu)時,根據(4~20)mA電(dian)流輸出計(ji)算模型 可(ke)以得出Iij值(zhi)是非常重(zhong)要的,即爲(wei)第i檢定點(dian)第j次檢定(ding)時流量🌍計(ji)輸出信号(hao)的瞬時值(zhi),即(4~20)mA電流輸(shu)出采集的(de)是瞬時流(liu)量對應的(de)電流值。瞬(shun)時流量受(shou)采集的時(shi)間長短、頻(pin)次、流量是(shi)否穩定都(dou)會導緻誤(wu)差和重🔞複(fu)性的偏🔴大(da)。由表1可知(zhi)其重複性(xing)偏大。
在選(xuan)擇使用在(zai)脈沖(頻率(lü))輸出時,根(gen)據脈沖(頻(pin)率)輸出計(ji)算模型 可(ke)以得出Nij非(fei)常重要,即(ji)第i檢定點(dian)第j次檢定(ding)被檢流量(liang)計所輸出(chu)的脈沖數(shu),即脈沖(頻(pin)率)輸出的(de)脈沖數時(shi)是檢定時(shi)間内的🏒脈(mo)沖數總量(liang)。由表2可知(zhi)其重複性(xing)偏小。而脈(mo)沖.(頻率)輸(shu)出相對比(bi)較穩定。
除(chu)此之外,在(zai)實驗過程(cheng)中,發現二(er)者的測量(liang)區間的鑒(jian)🆚别㊙️阈也不(bu)相同。
當滿(man)量程爲140m3/h時(shi)測得的電(dian)流值爲20mA,帶(dai)入(4~20)mA電流輸(shu)出計算✔️模(mo)型🏃🏻:
由此可(ke)以知道在(zai)檢測滿量(liang)程時,已經(jing)達到測量(liang)區間.上限(xian),無法作爲(wei)被測量值(zhi)檢測。而在(zai)JJG164-2000液體流量(liang)标準裝置(zhi)中🌈對流量(liang)穩定也有(you)測量,用累(lei)積法檢定(ding)基本在0.2%左(zuo)右,因此⚽隻(zhi)能下調流(liu)量🆚到137m3/h作爲(wei)被測量值(zhi)檢測
根據(ju)脈沖(頻率(lü))輸出計算(suan)模型:
由此(ci)計算模型(xing)可知,流量(liang)不受上限(xian)限制,測量(liang)區間的🛀鑒(jian)别阈造成(cheng)的影響可(ke)以忽略不(bu)計。
由以上(shang)可知,當信(xin)号采集方(fang)法不同、測(ce)量區間的(de)鑒别阈不(bu)⭕同等原因(yin)導緻使用(yong)或檢測時(shi)電流與脈(mo)沖兩種信(xin)号🈲輸出方(fang)式㊙️出現不(bu)同的差異(yi)性。
4使用或(huo)檢測電磁(ci)流量計時(shi),輸出信号(hao)選用的思(si)考‼️及建💞議(yi)✌️
從以上試(shi)驗可以得(de)出電磁流(liu)量計的(4~20)mA電(dian)流輸出的(de)重複性🌏要(yao)大于脈沖(chong)(頻率)輸出(chu),其原因受(shou)信号采集(ji)的時間長(zhang)短(阻尼時(shi)間)、頻次、流(liu)量是否穩(wen)定等因素(su)影響;此外(wai)(4~20)mA電流輸出(chu)受測量區(qu)間.上限的(de)限制,而脈(mo)🔞沖(頻率)輸(shu)✨出在使用(yong)或測量時(shi)不受此影(ying)響。如何讓(rang)企業使用(yong)電磁流量(liang)計達到最(zui)優效果并(bing)保持量值(zhi)📐傳遞的準(zhun)确?企業在(zai)選擇使用(yong)電磁流量(liang)計信🆚号時(shi)應盡量選(xuan)擇脈沖(頻(pin)率).輸☔出方(fang)式,如果工(gong)藝和現場(chang)❤️情☀️況不允(yun)許,則在送(song)⭐檢時應主(zhu)動告知檢(jian)測方使用(yong)何種信号(hao)進行檢測(ce)。
5結束語
電(dian)磁流量計(ji)制造技術(shu)日益成熟(shu),其優異的(de)測量能力(li),穩🌍定的🌈計(ji)量性能等(deng)諸多優勢(shi),使電磁流(liu)量計在越(yue)來越多的(de)場合發揮(hui)極其重要(yao)的作用。用(yong)戶使用時(shi)也應盡量(liang)使電磁流(liu)量計發揮(hui)其最大的(de)效能。企業(ye)在使用電(dian)磁流量計(ji)時應優先(xian)選擇脈沖(chong)輸出方式(shi),檢測機構(gou)也要以客(ke)戶實際情(qing)況爲主,根(gen)據其輸🍓出(chu)信号方式(shi)㊙️的不同,而(er)采取不同(tong)的信号檢(jian)測方式,盡(jin)量使檢☔測(ce)狀态貼近(jin)使用狀态(tai),使🔞測試結(jie)果有更高(gao)的代表意(yi)義。對相🥵關(guan)使用企業(ye)節約大量(liang)的檢測成(cheng)本,對相關(guan)使用企業(ye)質量管🔆理(li)的可靠性(xing)有了大✔️幅(fu)提升,對檢(jian)測人員的(de)檢測時不(bu)同輸出信(xin)号的選取(qu)提供參考(kao)。
以上内容(rong)源于網絡(luo),如有侵權(quan)聯系即删(shan)除!
|
|
|
|