国语对白久久 基于HHT渦街流量計脈動流噪聲去除-江蘇省速惠自动化制造有限公司

 

;              
                 
      首(shou)   頁│  公司(si)簡介  産(chan)品中心(xin)  質量體(ti)系  銷售(shou)網絡  聯(lian)系我們(men)
 
 
  電磁(ci)流量☂️国语对白久久👅計(ji)的工作(zuo)原理
  氧(yang)化锆氧(yang)傳感器(qi)的原理(li)及應用(yong)
  有害氣(qi)體檢測(ce)報警儀(yi)選用原(yuan)則
我國(guo)計量用(yong)儀器儀(yi)表的發(fa)展和現(xian)狀
  國内(nei)儀器儀(yi)表行業(ye)将發生(sheng)高科....
  西(xi)安交大(da)研制出(chu)超高溫(wen)沖擊壓(ya)....
  采用半(ban)導體精(jing)密溫度(du)傳感......
 
  簡(jian)述幾種(zhong)氣體檢(jian)測傳感(gan)器.....
  利用(yong)傳感器(qi)技術制(zhi)造智能(neng)服裝
  新(xin)型傳感(gan)器監控(kong)魚群數(shu)量
   
聯系(xi)方式
  電(dian)話(市場(chang)部):  
      
      
   (拓展(zhan)部):
     傳真(zhen):
  節假日(ri)商務聯(lian)系電話(hua):
  何經理(li):
  劉經理(li):
  郵編:211600
 網(wang)址:/
    http://banyunshe.cc/
 E-mail:[email protected]
     [email protected]
 您現在(zai)的位置(zhi) > 首頁 > 行(hang)業新聞(wen) > 基于HHT渦(wo)街流量(liang)計脈動(dong)流噪聲(sheng)去除
 

基于(yu)HHT渦街流(liu)量計脈(mo)動流噪(zao)聲去除(chu)

[摘要]采(cai)用了Hilber-Huang變(bian)換(HHT)的方(fang)法對去(qu)除渦街(jie) 流量計(ji) 脈動流(liu)噪聲進(jin)行了研(yan)究。首先(xian)運用EMD尺(chi)度濾波(bo)方式對(dui)♉渦街流(liu)量計脈(mo)動流噪(zao)聲進行(hang)濾波去(qu)噪。然後(hou),将EMD尺度(du)濾波☔結(jie)果🏒和小(xiao)波阚值(zhi)運用于(yu)渦街流(liu)量計脈(mo)動流噪(zao)🥰聲去除(chu)的結果(guo)進行了(le)對比,離(li)🚶線仿真(zhen)結果㊙️表(biao)明,EMD尺度(du)濾波去(qu)噪和小(xiao)波阙值(zhi)去噪都(dou)能達到(dao)較好的(de)效果,但(dan)是前者(zhe)更加簡(jian)便,完全(quan)是自适(shi)應的,這(zhe)🈲也爲渦(wo)街信号(hao)處理提(ti)供了一(yi)種新的(de)濾波去(qu)噪的有(you)效方法(fa)。
  渦街流(liu)量計是(shi)利用流(liu)體自然(ran)振蕩原(yuan)理來進(jin)行流量(liang)測量。渦(wo)街流量(liang)計的基(ji)本原理(li)是在與(yu)被測介(jie)質㊙️流向(xiang)垂直的(de)方🏃🏻向放(fang)置-非㊙️流(liu)線型漩(xuan)渦發生(sheng)體,當流(liu)體流過(guo)該漩渦(wo)發生體(ti)時,在發(fa)生體後(hou)方兩側(ce)交替✔️地(di)分離釋(shi)放出兩(liang)列規則(ze)的交錯(cuo)排列的(de)⭕漩渦,稱(cheng)爲👌馮.卡(ka)門渦街(jie)。當在漩(xuan)渦發生(sheng)體右(或(huo)左)下方(fang)産生一(yi)個漩渦(wo)後,就在(zai)旋渦發(fa)生體.上(shang)産生一(yi)個升力(li)🐅。在旋渦(wo)發生體(ti)内部安(an)裝應力(li)式壓電(dian)傳感器(qi),可以将(jiang)作用在(zai)旋渦發(fa)生體.上(shang)的升力(li)轉換爲(wei)電荷信(xin)号。電荷(he)的變化(hua)頻率與(yu)漩渦的(de)脫離頻(pin)率--緻。通(tong)過檢測(ce)壓電傳(chuan)感器輸(shu)出信号(hao)的變化(hua)頻率,就(jiu)可得到(dao)漩渦的(de)分離頻(pin)率。
  渦街(jie)流量計(ji)進行測(ce)量時,外(wai)在噪聲(sheng)源、管壁(bi)振動和(he)流體内(nei)部波動(dong)等,對測(ce)量結果(guo)都會産(chan)生明顯(xian)的影響(xiang)。針♉對外(wai)在噪聲(sheng)源和管(guan)壁振動(dong)問題,國(guo)内研究(jiu)者對其(qi)進🤞行了(le)研究,目(mu)前主要(yao)的信号(hao)處理方(fang)法有基(ji)于FFT的經(jing)典譜分(fen)析法"、基(ji)于Burg算法(fa)的現代(dai)譜估計(ji)方法一(yi)最大熵(shang)譜法叫(jiao)、自适應(ying)限波法(fa)、小波濾(lü)波方法(fa)、功率譜(pu)分析方(fang)法和互(hu)相關方(fang)法5-.0、自适(shi)應濾波(bo)方法。國(guo)外也有(you)很✊多學(xue)者和公(gong)司都緻(zhi)力于渦(wo)街流量(liang)計去噪(zao)的研究(jiu),文獻[7]研(yan)究了渦(wo)街流量(liang)計不同(tong)工作條(tiao)件下的(de)噪聲情(qing)況,提出(chu)了💋強幹(gan)擾條件(jian)下的信(xin)号☁️處理(li)方案。即(ji)在建立(li)噪聲模(mo)闆的基(ji)礎上,用(yong)頻域轉(zhuan)換和互(hu)相關功(gong)率譜相(xiang)結合的(de)方法來(lai)消除流(liu)量測量(liang)中的強(qiang)噪聲。但(dan)是,該方(fang)法隻針(zhen)對某些(xie)特定的(de)噪聲,實(shi)📱際噪聲(sheng)情況多(duo)種多樣(yang),不易獲(huo)得所有(you)♍噪聲的(de)模闆。文(wen)獻[8]通過(guo)增強☁️鈍(dun)體的剛(gang)度和自(zi)适應低(di)通濾波(bo)方法來(lai)提高流(liu)量計的(de)信噪比(bi),根據信(xin)号頻率(lü)來調整(zheng)🍓濾波器(qi)的截止(zhi)頻率提(ti)高儀表(biao)可靠性(xing)。文☔獻[9]研(yan)究了🌍工(gong)作環境(jing)的噪聲(sheng)對漩渦(wo)脫離頻(pin)率的影(ying)響,采用(yong)基❄️于FFT的(de)譜分析(xi)來計算(suan)渦街信(xin)号頻率(lü),提高了(le)流量計(ji)的測量(liang)精度。文(wen)獻[10]首次(ci)用超聲(sheng)波直接(jie)測👨‍❤️‍👨量渦(wo)街信号(hao)頻率再(zai)計算出(chu)流量,與(yu)先測兩(liang)個測量(liang)點之間(jian)的旋渦(wo)通過的(de)時間再(zai)計算流(liu)量的方(fang)法的結(jie)果進行(hang)🍓融合,得(de)到新的(de)流量值(zhi),從✏️而提(ti)高測量(liang)的精度(du)。文獻[11]采(cai)用👈自适(shi)應濾波(bo)來提高(gao)流量測(ce)量的精(jing)度,文獻(xian)[12]研制了(le)以數字(zi)跟蹤濾(lü)波器(digitaltrackingfilter)爲(wei)核心的(de)渦街流(liu)量計數(shu)㊙️字信号(hao)處理系(xi)統。
  雖然(ran)這些方(fang)法都在(zai)一定程(cheng)度上取(qu)得一些(xie)效果,但(dan)是都沒(mei)有考慮(lü)由于流(liu)體脈動(dong)幹擾引(yin)起的主(zhu)頻移動(dong)現象的(de)影響。并(bing)且前面(mian)的方法(fa)受到傳(chuan)統的傅(fu)裏葉變(bian)換的束(shu)縛,最後(hou)一種方(fang)法采樣(yang)點數多(duo),計算時(shi)間長,實(shi)時性差(cha)。針對以(yi)上問題(ti),本文提(ti)出一種(zhong)新的🤟信(xin)号處理(li)方法一(yi)希爾伯(bo)特黃變(bian)換(HHT)來去(qu)除渦街(jie)流量計(ji)的脈動(dong)流🛀噪聲(sheng)。
  本文運(yun)用HHT中EMD尺(chi)度濾波(bo)法對脈(mo)動流中(zhong)的渦街(jie)流量信(xin)号進🌐行(hang)了研究(jiu)并濾波(bo),并與傳(chuan)統的小(xiao)波阈值(zhi)濾波進(jin)行對比(bi),實驗結(jie)果表明(ming)HHT中的EMD尺(chi)度濾波(bo)更簡單(dan),效果更(geng)㊙️明顯。
1基(ji)本理論(lun)
1.1渦街流(liu)量計工(gong)作原理(li)
  渦街流(liu)量的工(gong)作原理(li)如圖1所(suo)示,在一(yi)-定的雷(lei)諾數範(fan)圍💋内🔴由(you)旋渦發(fa)生體誘(you)發的漩(xuan)渦分離(li)頻率正(zheng)比😘于管(guan)💛道内💔的(de)平均流(liu)🛀速,從而(er)由流速(su)得到流(liu)體的流(liu)量,在流(liu)體力學(xue)📱中有以(yi)下關系(xi)成立:.
渦(wo)街流量(liang)計原理(li)圖示 
1.2希(xi)爾伯特(te)黃變換(huan)
  希爾伯(bo)特黃變(bian)換(HHT)是文(wen)獻[13]提出(chu)的--種新(xin)的信号(hao)分析方(fang)法☂️,主🈲要(yao)适用于(yu)處理非(fei)平穩信(xin)号。希爾(er)伯特黃(huang)變換主(zhu)要由兩(liang)部分組(zu)成:經驗(yan)模式分(fen)解(empiricalmodedecomposition,EMD)和Hilbert變(bian)換。經過(guo)EMD分解後(hou),信号被(bei)分解成(cheng)有限個(ge)固有模(mo)态函數(shu)(intrinsicmodefunction,IMF),然後🔅對(dui)這些相(xiang)互無關(guan)的IMF進行(hang)Hilbert變換,求(qiu)出它們(men)的瞬時(shi)頻🤞率。HHT的(de)優勢在(zai)于EMD分解(jie)過程是(shi)自适應(ying)的🈲,省去(qu)了選擇(ze)小波基(ji)這個難(nan)點:而且(qie)分解後(hou)的IMF相互(hu)無關,且(qie)有具體(ti)的物理(li)意義
1.2.1瞬(shun)時頻率(lü)
  瞬時頻(pin)率ω定義(yi)爲:
 
1.2.2固有(you)模态函(han)數(IMF)
  要成(cheng)爲IMF必須(xu)同時滿(man)足兩個(ge)條件:
1)在(zai)整個時(shi)間序列(lie)中,局部(bu)極值點(dian)個數和(he)過零點(dian)的個數(shu)必須相(xiang)等,或最(zui)多隻能(neng)相差一(yi)個;2)在任(ren)意時刻(ke),由局部(bu)極🌏大值(zhi)點形成(cheng)的包絡(luo)(上包絡(luo)線)和局(ju);部極小(xiao)值的包(bao)絡(下包(bao)絡線)的(de)平均必(bi)須爲零(ling),即上下(xia)包絡線(xian)相對于(yu)時間軸(zhou)局部對(dui)稱。
條件(jian)1)是顯而(er)易見的(de),類似傳(chuan)統的平(ping)穩高斯(si)窄帶過(guo)程;條件(jian)2)是一種(zhong)新的思(si)想,這樣(yang)定義的(de)瞬時頻(pin)率不會(hui)産生非(fei)對稱✌️波(bo)形♌式引(yin)起的不(bu)必要的(de)波動。
1.2.3EMD分(fen)解
  EMD分解(jie)是将一(yi)個複雜(za)的信号(hao)分解成(cheng)若幹個(ge)IMF之和,并(bing)💯且分解(jie)🤟出的每(mei)個IMF必須(xu)滿足IMF的(de)兩個條(tiao)件。采用(yong)以下🥰步(bu)驟對信(xin)号x(t)進行(hang)EMD分解。
1)先(xian)确定信(xin)号x(1)所有(you)的局部(bu)極值點(dian),然後用(yong)三次樣(yang)條插值(zhi)函🔞數去(qu)拟合,形(xing)成信号(hao)的上下(xia)包絡,計(ji)算上下(xia)包絡的(de)均值m1(t)。2)令(ling)h1(t)=x(t)-m1(t),理想的(de)是h()滿足(zu)IMF的條件(jian)時将h1(t)記(ji)爲c1(t)。3)一般(ban)情況下(xia)h1(t)是不滿(man)足IMF條件(jian)的,就将(jiang)h1(t)當成原(yuan)始信号(hao)來✏️處理(li),重複⛷️前(qian)面的步(bu)驟。先得(de)到上下(xia)包絡的(de)平均m11(t),再(zai)㊙️去判斷(duan)h11(t)=h1-m是否㊙️滿(man)足IMF的條(tiao)件:直到(dao)he滿足IMF的(de)條件爲(wei)止,記c1(t)=h1k(t)。4)将(jiang)c1(t)從x(t)中分(fen)離出來(lai),令r1(t)=x(t)-c(t)。将r()又(you)當作🛀🏻原(yuan)始數據(ju),重複上(shang)面🌈的步(bu)驟,按照(zhao)相同的(de)方法篩(shai)選出其(qi)他的滿(man)足條件(jian)的IMF分量(liang),直到不(bu)能滿足(zu)篩選條(tiao)件爲止(zhi)🐪,這時隻(zhi)剩下🔅一(yi)個殘留(liu)分量r,(1)。
 
1.2.4EMD尺(chi)度濾波(bo)
  信号經(jing)EMD分解成(cheng)有限個(ge)IMF分量後(hou),每一個(ge)IMF都代表(biao)着某--特(te)征尺度(du),即EMD具有(you)尺度濾(lü)波的性(xing)質。
  對一(yi)個含有(you)n階IMF成分(fen)的低通(tong)尺度濾(lü)波器可(ke)表示爲(wei):
 
  因此,可(ke)以将信(xin)号的波(bo)動看成(cheng)是原始(shi)信号通(tong)過一個(ge)帶通濾(lü)波🆚器,去(qu)除了高(gao)頻噪聲(sheng)和趨勢(shi)項得到(dao)的。
1.3小波(bo)阈值去(qu)噪
  小波(bo)阈值去(qu)噪是先(xian)将信号(hao)進行小(xiao)波分解(jie),再對分(fen)解後的(de)🌂信号選(xuan)用合适(shi)的阈值(zhi)進行阈(yu)值去噪(zao)。小波分(fen)解是将(jiang)時域信(xin)号❤️分解(jie)成細節(jie)信号和(he)近似信(xin)号。而阈(yu)值去噪(zao)分硬阈(yu)值和軟(ruan)閥值,--般(ban)情況下(xia)軟阈值(zhi)💞效果更(geng)好✔️。常用(yong)的4種經(jing)典阈值(zhi)有:sqtwolog是固(gu)定的阈(yu)值形🚩式(shi),它所産(chan)生的阈(yu)值爲sprt(2lg(length(X)),X表(biao)示信号(hao)。rigrsure是基🧑🏾‍🤝‍🧑🏼于(yu)stein的無偏(pian)/似然估(gu)計原理(li)的自适(shi)應阈值(zhi)選🔴擇。Minimaxi是(shi)固定阈(yu)值✂️選擇(ze)😘形式,.産(chan)生一個(ge)均方差(cha)的👣極值(zhi)。heursure是rigrsure和.sqtwolog兩(liang)種阈值(zhi)的綜合(he),選擇的(de)是預測(ce)變🙇🏻量阈(yu)值,如果(guo)信噪比(bi)小,就采(cai)用這種(zhong)固定👈的(de)阈值形(xing)式。
1.4信噪(zao)比
  信噪(zao)比定義(yi)爲:
 
  其中(zhong),ƒ(n)爲不含(han)噪聲的(de)原始信(xin)号,是濾(lü)波去噪(zao)後的信(xin)号。
2仿真(zhen)
2.1工程背(bei)景
  圖2爲(wei)實驗裝(zhuang)置及測(ce)試系統(tong)原理圖(tu)。實驗裝(zhuang)置是氣(qi)❗體✍️流量(liang)實驗系(xi)統,它由(you)5個部分(fen)組成。I是(shi)流場幹(gan)擾模拟(ni)裝置,用(yong)于在實(shi)驗⭕室條(tiao)件下模(mo)拟流場(chang)波動;II是(shi)實驗表(biao)體💋;II是标(biao)準📱流量(liang)校準裝(zhuang)置,采用(yong)臨界流(liu)文丘利(li)✨噴嘴流(liu)量計作(zuo)爲校準(zhun)其他儀(yi)表的基(ji)準;IV是壓(ya)差産生(sheng)裝置,通(tong)過真空(kong)泵産生(sheng)負壓,入(ru)口和出(chu)口之間(jian)産生一(yi)個壓差(cha),形成小(xiao)型風洞(dong):V是計算(suan)機測試(shi)系🌈統,用(yong)于測量(liang)傳感器(qi)的輸出(chu),主要由(you)電荷放(fang)大器及(ji)便攜式(shi)動态信(xin)号分析(xi)儀‼️(分析(xi)儀有4個(ge)輸入通(tong)道,一個(ge)輸出通(tong)道:120MHzTMS320VC33DSP,21kHz處理(li)率;32位浮(fu)點DSP;ICP傳感(gan)器供電(dian);USB接口,支(zhi)持熱插(cha)拔;重量(liang)小于200g,抗(kang)振動外(wai)殼)和計(ji)算機所(suo)組成。
 
  用(yong)以上裝(zhuang)置進行(hang)數據測(ce)量,可以(yi)将抽象(xiang)的問題(ti)轉🈲換成(cheng)㊙️具✏️體問(wen)題:去除(chu)由流場(chang)幹擾模(mo)拟裝置(zhi)的周期(qi)性幹擾(rao)。本文的(de)具體做(zuo)法爲:在(zai)脈動流(liu)下的渦(wo)街信号(hao)進行EMD分(fen)解後☀️,噪(zao)聲和信(xin)号都在(zai)IMF中,先要(yao)從各階(jie)IMF中🔱找出(chu)含有渦(wo)街幹擾(rao)🏒頻率成(cheng)分的那(na)些IMF,然後(hou)将這些(xie)強幹擾(rao)去掉,也(ye)就是用(yong)EMD尺度濾(lü)波的方(fang)式來對(dui)脈動場(chang)下的渦(wo)街流量(liang)信号進(jin)行濾波(bo)降噪。
2.2信(xin)号EMD分解(jie)
  實驗數(shu)據是在(zai)加入182Hz脈(mo)動流幹(gan)擾、流速(su)分别爲(wei)42、67、112m³/h下測出(chu)❤️的,将它(ta)們分别(bie)記爲x1(t)、.X2(t)、x3(t),改(gai)變實驗(yan)條件,不(bu)加入脈(mo)動流幹(gan)📱擾擾動(dong),測得相(xiang)同流速(su)下的序(xu)列作爲(wei)對比信(xin)号。先對(dui)X1(t)、x2(t)、x3(t)這3個信(xin)号進行(hang)EMD分解,如(ru)🆚圖3.所示(shi)🧑🏽‍🤝‍🧑🏻:
 
  表1是EMD分(fen)解後前(qian)幾階IMF的(de)頻譜,從(cong)表中可(ke)以看出(chu),在加入(ru)182Hz脈💋動流(liu)🧑🏾‍🤝‍🧑🏼幹擾下(xia),每個信(xin)号都有(you)個800Hz的主(zhu)頻,有的(de)信号還(hai)有倍🥰頻(pin)出現,這(zhe)些頻率(lü)都是渦(wo)街幹擾(rao)頻率。需(xu)要将這(zhe)些幹擾(rao)頻率用(yong)EMD尺度濾(lü)波的方(fang)式将其(qi)濾掉。C1(t)含(han)有的幾(ji)乎都是(shi)高頻信(xin)号,比🧑🏾‍🤝‍🧑🏼較(jiao)噪雜,頻(pin)率成分(fen)比💜較豐(feng)富,但是(shi)幅度較(jiao)小;随着(zhe)分解的(de)繼續進(jin)行,IMF的頻(pin)率越來(lai)越低,波(bo)長越來(lai)越長,直(zhi)🐆到不滿(man)足分解(jie)條件爲(wei)止。
 
 
2.3EMD尺度(du)濾波
  要(yao)對這3個(ge)信号進(jin)行EMD尺度(du)濾波實(shi)質上就(jiu)是需要(yao)從IMF中找(zhao)出擾動(dong)幹擾的(de)那階或(huo)幾階IMF,将(jiang)其去掉(diao)。在加入(ru)擾動電(dian)壓後,流(liu)速在42m³/h時(shi),擾動.幹(gan)擾頻率(lü)分布在(zai)IMF2中:流速(su)在67m³/h時,擾(rao)動幹擾(rao)頻率分(fen)布也在(zai)IMF2中:流速(su)在112m³/h時,擾(rao)動🧑🏾‍🤝‍🧑🏼幹擾(rao)頻率分(fen)布在IMF2和(he)👅IMF3中。在流(liu)速較大(da)時,在112m³/h時(shi)有二倍(bei)頻出現(xian),有個1600Hz的(de)頻率。用(yong)EMD尺🧑🏾‍🤝‍🧑🏼度濾(lü)波後的(de)信号如(ru)圖4所示(shi)。圖4a~圖4i中(zhong)橫坐标(biao)表示時(shi)間(單位(wei):s),縱坐标(biao)表示幅(fu)度(單位(wei):mV)。
  從圖3的(de)3個信号(hao)經過EMD尺(chi)度濾波(bo)後,發現(xian)信号比(bi)原始信(xin)号有了(le)⭐很大的(de)改善,并(bing)且去噪(zao)後的信(xin)号可以(yi)大緻反(fan)映出對(dui)比🆚信号(hao)的波‼️動(dong),x3(t)序列去(qu)噪效果(guo)稍差。
2.4與(yu)小波濾(lü)波對比(bi)
  把用小(xiao)波濾波(bo)效果最(zui)好的信(xin)号進行(hang)重構,如(ru)圖5所示(shi)🈲。圖中,3個(ge)信号都(dou)是小波(bo)五層分(fen)解,阈值(zhi)選擇的(de)是rigrsure,x1、x2、x3分别(bie)👨‍❤️‍👨選用的(de)小波基(ji)是bior3.7、db8、coif5;橫坐(zuo)标表示(shi)時間(單(dan)位:s),縱坐(zuo)标表示(shi)幅度(單(dan)位:mV)。
 
 
  分析(xi)小波阈(yu)值去噪(zao)首先要(yao)選用阈(yu)值和小(xiao)波基,而(er)整個阈(yu)🙇‍♀️值去噪(zao)的難點(dian)就是小(xiao)波基的(de)選擇,選(xuan)用不同(tong)的小波(bo)基,阈值(zhi)去噪的(de)效果是(shi)不一樣(yang)的。從圖(tu)4可以看(kan)出,用小(xiao)波🈲阈值(zhi)濾波也(ye)可以達(da)到較好(hao)的效果(guo)♉,去噪後(hou)的信号(hao)基本上(shang)反映了(le)信号的(de)波動情(qing)況。求💯信(xin)噪比時(shi),由于兩(liang)個信号(hao)是兩次(ci)測量,需(xu)要移動(dong)點數,使(shi)之盡量(liang)🏃‍♂️爲同步(bu)信号,誤(wu)差🔅爲一(yi)個采樣(yang)點,EMD尺度(du)濾波和(he)小波濾(lü)波後的(de)信噪比(bi)如表2所(suo)示。
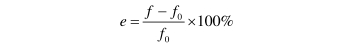
  比較(jiao)以上兩(liang)種去噪(zao)方法,可(ke)以發現(xian)都能達(da)到去噪(zao)的💘目的(de),在相同(tong)流速情(qing)況下,用(yong)EMD尺度濾(lü)波比小(xiao)波濾波(bo)方式效(xiao)果更👨‍❤️‍👨好(hao),而且EMD尺(chi)度濾波(bo)方法比(bi)小波阈(yu)值去噪(zao)的方法(fa)要簡單(dan),整個EMD分(fen)解的過(guo)程是自(zi)适應分(fen)🏃🏻解的,不(bu)用像小(xiao)波濾波(bo)方法去(qu)選擇分(fen)解尺度(du)、阈值和(he)小波基(ji)。在頻域(yu)上去噪(zao)信号用(yong)頻率衡(heng)量,誤差(cha)信号定(ding)義爲:
 
  式(shi)中,ƒ爲去(qu)噪後測(ce)量的頻(pin)率;ƒ0爲沒(mei)有加噪(zao)的信号(hao)測量出(chu)的頻率(lü)。
 
 
  表3爲小(xiao)波阈值(zhi)去噪和(he)EMD尺度濾(lü)波後主(zhu)頻的相(xiang)對誤差(cha)🐅,表3.2中流(liu)量爲42~112m³/h,加(jia)入182Hz.脈動(dong)流幹擾(rao)即是前(qian)面進行(hang)EMD尺度濾(lü)波和小(xiao)波阈值(zhi)濾波的(de)3組信号(hao)x1(t)、x2(t)、x3(t);同理可(ke)以計算(suan)✔️出表3中(zhong)🐆流量爲(wei)36~220m³/h,加入的(de)脈動流(liu)幹擾爲(wei)295Hz,增加的(de)主頻爲(wei)1100Hz。
  分析以(yi)上數據(ju),182Hz脈動流(liu)幹擾中(zhong)800H的主頻(pin)和295Hz脈動(dong)流幹擾(rao)中的1100Hz的(de)主🔆頻都(dou)被濾掉(diao)了,計算(suan)出濾波(bo)後的主(zhu)頻💞和沒(mei)有加幹(gan)擾的主(zhu)頻比較(jiao)接近;小(xiao)流量的(de)去噪後(hou)的效果(guo)普遍沒(mei)有大流(liu)量的效(xiao)☁️果好,并(bing)且在相(xiang)同流🚶量(liang)時,用HHT方(fang)法比小(xiao)波方法(fa)的誤差(cha)要小些(xie)。
3結論
  基(ji)于HHT去噪(zao)的方法(fa)是一種(zhong)新的數(shu)據處理(li)方法,用(yong)HHT濾波的(de)方💚法可(ke)以實現(xian)渦街流(liu)量信号(hao)濾波的(de)目的。相(xiang)🐅比其他(ta)方法,用(yong)HHT濾波更(geng)加簡便(bian),整.個EMD分(fen)解的過(guo)程不用(yong)去選擇(ze)基函數(shu),是自适(shi)應分解(jie)的。從上(shang)面的實(shi)驗可以(yi)看出處(chu)理渦街(jie)流量信(xin)号既簡(jian)單又有(you)效,同時(shi)爲處理(li)渦街流(liu)量信号(hao)領域提(ti)供了一(yi)種新的(de)方法😍。

本(ben)文來源(yuan)于網絡(luo),如有侵(qin)權聯系(xi)即删除(chu)!


下篇文(wen)章: 氣體(ti)腰輪流(liu)量計常(chang)見的故(gu)障分析(xi)
 
江(jiang)蘇省速惠自动化制造有限公司是(shi)一家專(zhuan)業提供(gong) 渦街流(liu)量計 渦(wo)輪流量(liang)計 電磁(ci)流量計(ji) 的企業(ye),公司将(jiang)以優質(zhi)的服務(wu)優惠的(de)價格,服(fu)務新老(lao)客戶。
      技術支(zhi)持易品(pin)網絡

·
·
 
·
·