鍋爐主(zhu)蒸汽流(liu)量計在(zai)線校核(he)方法 發(fa)布時間(jian):2025-11-27
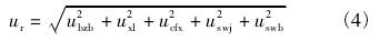
摘要:闡(chan)述了蒸(zheng)汽計量(liang)現狀以(yi)及标準(zhun)節流裝(zhuang)置的♌誤(wu)差來源(yuan),分析了(le)常用蒸(zheng)汽流量(liang)計 存在(zai)的檢定(ding)或校準(zhun)問題。在(zai)此基礎(chu)上提出(chu)了一種(zhong)鍋爐主(zhu)蒸🔞汽流(liu)量計的(de)在線校(xiao)核方法(fa),通過對(dui)工業典(dian)型燃氣(qi)鍋爐系(xi)統的分(fen)析建立(li)了水汽(qi)質量平(ping)衡方程(cheng),探讨了(le)在線校(xiao)核方法(fa)的理論(lun)可行性(xing)。然後給(gei)出了校(xiao)核時的(de)鍋爐運(yun)行需滿(man)足的穩(wen)定工況(kuang)條件🏃♀️以(yi)及在線(xian)校核的(de)步驟,分(fen)🈲析了不(bu)确定度(du)分量的(de)來源。該(gai)方法實(shi)現了以(yi)精度等(deng)級的水(shui)流量爲(wei)标😍準參(can)㊙️考量,在(zai)鍋爐運(yun)行中在(zai)線校準(zhun)主蒸🍓汽(qi)流量計(ji)示值,提(ti)🌐高飽和(he)蒸汽流(liu)量計測(ce)量精度(du)。與實☁️驗(yan)🐆室檢定(ding)或校準(zhun)相比🏃,鍋(guo)爐主蒸(zheng)汽在線(xian)校核方(fang)法具有(you)方便快(kuai)捷、動态(tai)校準的(de)優點,在(zai)保證儀(yi)器性能(neng)、提高經(jing)濟效益(yi)方面可(ke)以發揮(hui)重要的(de)作💞用。 0引(yin)言 蒸汽(qi)作爲一(yi)種重要(yao)的二次(ci)能源,是(shi)熱能的(de)重要載(zai)體,不僅(jin)可直🧑🏽🤝🧑🏻接(jie)參與生(sheng)産過程(cheng)的化學(xue)反應,還(hai)可以利(li)用其熱(re)能産生(sheng)能👄量或(huo)做功,具(ju)有清潔(jie)環保、能(neng)效高、可(ke)傳🏃🏻輸等(deng)特點,被(bei)廣泛用(yong)于📧當今(jin)的工業(ye)生産當(dang)❌中。蒸汽(qi)計量的(de)準确可(ke)靠不僅(jin)能準确(que)反映用(yong)戶能耗(hao)、監控熱(re)能系統(tong)的運行(hang)狀況,且(qie)能爲實(shi)現熱能(neng)的合理(li)分配,熱(re)力系統(tong)的最佳(jia)運行,以(yi)及用汽(qi)設施的(de)節能降(jiang)耗改造(zao)提🚶供可(ke)靠的技(ji)術依據(ju),而且也(ye)是保證(zheng)蒸汽貿(mao)易結算(suan)公💯平公(gong)正的基(ji)礎。因此(ci),如何确(que)保🏃♀️蒸汽(qi)流量的(de)準确計(ji)量越來(lai)越受到(dao)用能單(dan)位的重(zhong)🔞視,對蒸(zheng)汽計量(liang)技術提(ti)出了更(geng)高的要(yao)求。流量(liang)儀表一(yi)直以來(lai)就是能(neng)源計量(liang)的重要(yao)基礎工(gong)具,其使(shi)用狀況(kuang)直接影(ying)響着能(neng)源計♊量(liang)的有效(xiao)性,如何(he)對使用(yong)中的流(liu)量儀表(biao)進行計(ji)量性能(neng)評價,是(shi)當📞前能(neng)源計量(liang)工作中(zhong)亟待解(jie)決的重(zhong)要課題(ti)[1]。近幾年(nian),在線校(xiao)核🏃的方(fang)法經過(guo)不斷的(de)研究和(he)推廣,已(yi)經獲得(de)了越來(lai)越多的(de)企業和(he)計量機(ji)構認可(ke)[2-4]。而由于(yu)蒸💃🏻汽狀(zhuang)态複雜(za)和其獨(du)特的物(wu)理特性(xing)使得♍蒸(zheng)汽流量(liang)計♉現階(jie)段很難(nan)開展在(zai)線檢定(ding)和校準(zhun)的工作(zuo),國内外(wai)普遍沒(mei)☎️有可行(hang)的解決(jue)辦法。因(yin)此,如何(he)提高蒸(zheng)汽⛱️計量(liang)的精度(du),快速獲(huo)取準确(que)可靠的(de)測量數(shu)據♊,有效(xiao)加強蒸(zheng)汽✔️計量(liang)管理,需(xu)要計量(liang)行業給(gei)予更多(duo)的關注(zhu)。 1蒸汽計(ji)量的現(xian)狀 目前(qian),蒸汽計(ji)量普遍(bian)使用标(biao)準節流(liu)裝置,如(ru) 孔闆流(liu)量計 或(huo) 渦街流(liu)量計 ,基(ji)本都能(neng)滿足蒸(zheng)汽計量(liang)和檢測(ce)的要求(qiu)[5-7]。雖然蒸(zheng)汽🍓計量(liang)儀表都(dou)🈲經過出(chu)廠檢驗(yan)合格,但(dan)安裝到(dao)管道上(shang)使用一(yi)定時間(jian)後,其🌈計(ji)量準确(que)性往往(wang)發生偏(pian)離。主要(yao)原因是(shi)蒸汽流(liu)量計測(ce)量介👉質(zhi)與校準(zhun)介質的(de)物理性(xing)質不一(yi)緻,且因(yin)部件磨(mo)損、電磁(ci)信号幹(gan)擾或安(an)裝偏差(cha)、蒸汽密(mi)度補償(chang)等因素(su)影響,導(dao)🤟緻運行(hang)工況條(tiao)件下的(de)儀表系(xi)數與校(xiao)準給出(chu)的儀表(biao)系數不(bu)匹配,使(shi)得蒸汽(qi)流量計(ji)在現場(chang)測量出(chu)✉️現一定(ding)的誤差(cha)[8-11]。雖然對(dui)于部分(fen)測量誤(wu)差能夠(gou)進行修(xiu)正或估(gu)算,但偏(pian)離狀況(kuang)并不是(shi)容易掌(zhang)握的。而(er)渦街流(liu)量計,由(you)于♌其儀(yi)表系數(shu)與旋渦(wo)發生體(ti)及管道(dao)的形狀(zhuang)尺寸有(you)🈚關,設計(ji)及标✨定(ding)時的管(guan)道條件(jian)與現場(chang)管道往(wang)往不完(wan)全吻合(he),對儀表(biao)系數的(de)影響較(jiao)大[12]。 目前(qian)我國已(yi)在煙台(tai)建立有(you)國家蒸(zheng)汽流量(liang)計量站(zhan),主要從(cong)附近電(dian)站引入(ru)蒸汽對(dui)蒸汽流(liu)量計進(jin)行校準(zhun),使用的(de)💁方法爲(wei)冷凝稱(cheng)重法,但(dan)是這種(zhong)直接測(ce)量法也(ye)存在一(yi)定偏差(cha)。其使用(yong)的💃🏻蒸汽(qi)與實際(ji)測量的(de)蒸汽介(jie)質溫度(du)、壓力都(dou)有一定(ding)的差異(yi),譬如校(xiao)準介質(zhi)壓力較(jiao)低,一般(ban)僅達0.3MPa,與(yu)大多數(shu)蒸汽流(liu)量計的(de)實際工(gong)作壓力(li)存在差(cha)異;蒸汽(qi)流量計(ji)需要拆(chai)卸🏃送檢(jian),運輸路(lu)途較遠(yuan),一方面(mian)影響企(qi)業的正(zheng)常生産(chan),另一方(fang)💜面經過(guo)長途運(yun)輸🐪的颠(dian)簸後很(hen)難保證(zheng)校準後(hou)的🛀🏻儀表(biao)性能不(bu)發生漂(piao)移。因此(ci)蒸汽直(zhi)接校準(zhun)法不具(ju)🏒有很強(qiang)的實際(ji)可操作(zuo)性。 基于(yu)上述現(xian)狀,對蒸(zheng)汽流量(liang)計進行(hang)在線校(xiao)核成爲(wei)一種可(ke)行的🍓選(xuan)項,特别(bie)是使用(yong)時間較(jiao)長,或者(zhe)使用🤩者(zhe)一直對(dui)計量值(zhi)存疑的(de)流量計(ji)更是如(ru)此。校核(he)的❄️目的(de)在于用(yong)某種可(ke)行♊的方(fang)式在線(xian)檢測實(shi)際流量(liang),提供一(yi)種參考(kao),從而可(ke)以對在(zai)用流量(liang)計的測(ce)量值進(jin)行對比(bi)分析。介(jie)紹了超(chao)聲波流(liu)量計在(zai)線校核(he)蒸🏃汽流(liu)量計的(de)方🌈法,并(bing)對一服(fu)裝洗染(ran)公司的(de)威爾巴(ba)蒸汽流(liu)量計進(jin)行校核(he),其結果(guo)表明🐪校(xiao)核的示(shi)值誤差(cha)在儀表(biao)标明的(de)精度(1.5%)範(fan)圍之内(nei),不存在(zai)計量超(chao)差的問(wen)題。超聲(sheng)波流量(liang)計在線(xian)校核的(de)方法多(duo)用于液(ye)😘體流量(liang),而對于(yu)物理性(xing)質特殊(shu)的蒸汽(qi)而言僅(jin)對過熱(re)蒸汽較(jiao)爲有效(xiao),對飽和(he)蒸汽或(huo)濕度較(jiao)大蒸汽(qi)時❌,便會(hui)因聲能(neng)在不同(tong)介質傳(chuan)遞🏒中的(de)衰減而(er)受到嚴(yan)重影響(xiang),甚👄至不(bu)能有效(xiao)讀取數(shu)據。因此(ci)這💯種方(fang)法應用(yong)範圍有(you)限,且需(xu)要滿足(zu)足夠長(zhang)穩流段(duan)條件。 鑒(jian)于國内(nei)暫時沒(mei)有成熟(shu)的在線(xian)檢定或(huo)校準蒸(zheng)汽流量(liang)計的方(fang)法,探索(suo)在線校(xiao)核蒸汽(qi)流量計(ji)的方法(fa)💞顯得尤(you)爲必要(yao)。 2水汽質(zhi)量平衡(heng)方程 一(yi)種鍋爐(lu)主蒸汽(qi)流量計(ji)的在線(xian)校核方(fang)法,基本(ben)思路是(shi)采🔞用水(shui)汽質量(liang)平衡法(fa),提出以(yi)更高精(jing)度等級(ji)的水流(liu)量爲标(biao)準參考(kao)量,在鍋(guo)爐運行(hang)中在線(xian)校準主(zhu)蒸汽流(liu)量計🏃示(shi)值,提高(gao)飽和蒸(zheng)汽流量(liang)計測量(liang)精度。 圖(tu)1爲工業(ye)常見的(de)燃氣鍋(guo)爐水汽(qi)系統示(shi)意圖,所(suo)有蒸汽(qi)☀️鍋爐的(de)給水均(jun)來自一(yi)個給水(shui)水箱,使(shi)用電磁(ci)流量計(ji)計量。鍋(guo)爐排污(wu)水通過(guo)彙集後(hou)由一電(dian)磁流🥰量(liang)計計量(liang),鍋爐蒸(zheng)汽彙集(ji)後由主(zhu)蒸汽流(liu)量計計(ji)量。 該類(lei)型燃氣(qi)鍋爐爲(wei)貫流式(shi),無汽包(bao),給水從(cong)下集箱(xiang)⭕進入🔴,在(zai)上升管(guan)中受熱(re)蒸發後(hou)蒸汽從(cong)上集箱(xiang)流出,其(qi)蒸💃🏻發示(shi)意圖如(ru)圖2所示(shi)🚶♀️。 将水冷(leng)壁上升(sheng)管中水(shui)位線與(yu)管壁圍(wei)成的介(jie)質區域(yu)作爲控(kong)制體!,控(kong)制體的(de)進口介(jie)質爲上(shang)升管給(gei)水👉Mj,出口(kou)介質爲(wei)産生的(de)蒸汽🧡Mq。并(bing)作如下(xia)穩定工(gong)況假設(she):在t時間(jian)内,鍋爐(lu)運行中(zhong)、汽水系(xi)統各管(guan)道中流(liu)體介💁質(zhi)連續流(liu)動;鍋爐(lu)水位線(xian)保持穩(wen)定不變(bian);鍋爐上(shang)集箱内(nei)壓力恒(heng)定;下集(ji)箱的給(gei)水壓力(li)、給水溫(wen)度恒定(ding)。則根據(ju)控制體(ti)汽水質(zhi)量變化(hua)可得如(ru)下關聯(lian)🆚式: 式中(zhong):Mj爲給水(shui)質量流(liu)量,kg/s;爲控(kong)制體!内(nei)流體質(zhi)量在t時(shi)間内的(de)變化量(liang),kg/s;Mq爲進入(ru)🥵到水位(wei)線上方(fang),蒸汽出(chu)口管引(yin)出的帶(dai)有濕度(du)的飽和(he)蒸汽質(zhi)量流量(liang),kg/s。 分析産(chan)汽過程(cheng)可知,鍋(guo)爐運行(hang)中,汽水(shui)系統流(liu)體介質(zhi)🎯連續流(liu)動中,屬(shu)定壓飽(bao)和蒸汽(qi)過程,飽(bao)和蒸汽(qi)溫度與(yu)飽和水(shui)的溫度(du)均不變(bian)。則t時間(jian)内,控制(zhi)體!内生(sheng)産的蒸(zheng)✊汽汽泡(pao)體積和(he)汽泡密(mi)度不變(bian)💋,即汽泡(pao)質量不(bu)變。水位(wei)線不變(bian)時⭐,控制(zhi)體下的(de)總體積(ji)🌈恒定,且(qie)控🛀制體(ti)!内的汽(qi)泡體積(ji)不變✊,則(ze)控制體(ti)!内液态(tai)水體積(ji)不變。又(you)因給水(shui)🐆壓力、給(gei)水溫度(du)💃🏻、蒸汽壓(ya)力恒定(ding)📐時,控制(zhi)體!内液(ye)态水的(de)🔴密度是(shi)不變的(de),則控制(zhi)體!内的(de)液态😍水(shui)質量恒(heng)定。即t時(shi)間内控(kong)制體!内(nei)的液态(tai)水質量(liang)🔞、汽泡質(zhi)量均不(bu)變,即=0。則(ze)式(1)可變(bian)換爲: 式(shi)(2)反應出(chu)鍋爐在(zai)某一穩(wen)定不變(bian)的給水(shui)壓力、給(gei)水溫度(du)下👨❤️👨,在水(shui)位線位(wei)置不變(bian)、蒸汽壓(ya)力恒定(ding)的鍋爐(lu)🔱運行工(gong)況控制(zhi)體内,給(gei)水質量(liang)流量與(yu)産生的(de)蒸汽質(zhi)量流量(liang)相等✔️。同(tong)理可推(tui)斷,若控(kong)制體擴(kuo)展爲包(bao)括下集(ji)箱、上升(sheng)管和上(shang)集箱的(de)控制體(ti)後,由式(shi)(2)可得: V=G0-G1(3) 式(shi)中:G0爲給(gei)定時間(jian)t内通過(guo)給水流(liu)量計的(de)累計質(zhi)量流量(liang),kg;G1爲通過(guo)鍋爐排(pai)污水流(liu)量計的(de)累計質(zhi)量流量(liang),kg;V爲鍋爐(lu)主蒸汽(qi)的累🙇🏻計(ji)質量流(liu)量,kg。 式(3)表(biao)示在穩(wen)定工況(kuang)控制條(tiao)件下,相(xiang)同時間(jian)裏,一個(ge)以下集(ji)箱給水(shui)質量流(liu)量爲進(jin)口,以上(shang)集箱蒸(zheng)汽質量(liang)流量和(he)排污水(shui)量爲出(chu)💁口的閉(bi)式連續(xu)流動貫(guan)流式鍋(guo)爐汽水(shui)系統,系(xi)統輸送(song)出的蒸(zheng)汽質量(liang)流量等(deng)于進入(ru)該😄系統(tong)的給水(shui)質量流(liu)量扣除(chu)流出該(gai)系統的(de)排污水(shui)質量流(liu)量,這就(jiu)是穩定(ding)工況控(kong)制條件(jian)下的鍋(guo)爐水汽(qi)🚩質量平(ping)衡方程(cheng)。 3蒸汽在(zai)線校核(he)方法 3.1在(zai)線校核(he)可行性(xing) 液态的(de)水進入(ru)鍋爐後(hou)經過受(shou)熱蒸發(fa)變成汽(qi)态的蒸(zheng)汽,僅☁️是(shi)水的兩(liang)種不同(tong)形态及(ji)不同狀(zhuang)态參數(shu)的轉變(bian),這爲利(li)用水汽(qi)質量平(ping)衡方程(cheng)測量鍋(guo)爐主蒸(zheng)❤️汽流量(liang)計的質(zhi)量流量(liang)🏃♂️提供了(le)物質條(tiao)件。因此(ci),探讨利(li)用較高(gao)精度等(deng)級的給(gei)水流量(liang)和排污(wu)流量在(zai)工🐇業現(xian)場在線(xian)💋校準蒸(zheng)汽流量(liang)計示值(zhi)的方法(fa),在理論(lun)🥵上是可(ke)行的。水(shui)流量測(ce)量技術(shu)成熟、操(cao)作方便(bian)、測量🌈精(jing)度有保(bao)☁️證,可作(zuo)✨爲校核(he)蒸汽的(de)标準參(can)考。按照(zhao)校準原(yuan)則,鍋爐(lu)給水流(liu)量計和(he)排污流(liu)量計🔆的(de)精度等(deng)㊙️級需要(yao)選擇較(jiao)高等級(ji)的流量(liang)計。結合(he)鍋爐現(xian)場,推🐉薦(jian)0.5級的 電(dian)磁流量(liang)計 作爲(wei)在線校(xiao)核标準(zhun)表使用(yong),即可滿(man)足校核(he)的需求(qiu)。 3.2在線校(xiao)核條件(jian) 工業現(xian)場校核(he)時,爲了(le)确保校(xiao)核的準(zhun)确性,鍋(guo)爐運行(hang)㊙️需要滿(man)足以下(xia)條件[13]: 1)确(que)保鍋爐(lu)汽水系(xi)統是獨(du)立系統(tong),停止化(hua)學取樣(yang)水、加藥(yao)水等操(cao)作。鍋爐(lu)各閥門(men)嚴密無(wu)洩漏; 2)鍋(guo)爐工況(kuang)參數基(ji)本穩定(ding),避免較(jiao)大的波(bo)動,如燃(ran)氣供應(ying)穩定,以(yi)減少燃(ran)燒調整(zheng)的影響(xiang)。不允許(xu)出現幹(gan)擾鍋爐(lu)工況的(de)任何💜操(cao)作,如安(an)全閥啓(qi)跳、鍋爐(lu)負荷調(diao)整等操(cao)作。通🧑🏽🤝🧑🏻過(guo)控制系(xi)統聯♈動(dong),當有排(pai)污水流(liu)出變化(hua)時,相應(ying)提高給(gei)水流量(liang),确保上(shang)升管中(zhong)汽液界(jie)🔞面維持(chi)穩定。鍋(guo)爐主要(yao)熱力參(can)數波動(dong)值不超(chao)過表1推(tui)薦的允(yun)許‼️值。 3.3在(zai)線校核(he)步驟 鍋(guo)爐穩定(ding)運行一(yi)段時間(jian)後,同時(shi)測量給(gei)水流量(liang)、排污水(shui)流量和(he)🤞蒸汽流(liu)量,得到(dao)一定參(can)數下的(de)給水流(liu)💯量與排(pai)污水流(liu)量之差(cha)(G0-G1)與蒸汽(qi)流量V之(zhi)間的比(bi)例系數(shu)f,以獲得(de)蒸汽流(liu)量計的(de)修正值(zhi)V'。如此通(tong)過較高(gao)精度等(deng)級的給(gei)水流量(liang)傳遞到(dao)蒸🙇♀️汽流(liu)量計示(shi)值,達到(dao)在線校(xiao)核目的(de),校核量(liang)值傳遞(di)示意圖(tu)見圖3。 鍋(guo)爐主蒸(zheng)汽流量(liang)計在線(xian)校核可(ke)分爲以(yi)下三個(ge)步驟完(wan)成✔️: 1)根據(ju)主蒸汽(qi)流量計(ji)的量程(cheng)或常用(yong)計量範(fan)圍,選取(qu)多個流(liu)量校🚶核(he)點i。每個(ge)流量點(dian)讀取數(shu)據不少(shao)于3次,取(qu)平均值(zhi)得到每(mei)個流量(liang)點的(G0-G1)和(he)V; 2)計算各(ge)流量點(dian)i的比例(li)系數fi: fi=(G0i-G1i)/Vi(4) 3)修(xiu)正蒸汽(qi)流量示(shi)值。用流(liu)量比例(li)系數fi拟(ni)合修正(zheng)蒸汽流(liu)量計☂️示(shi)值。若各(ge)流量點(dian)的比例(li)系數fi接(jie)近線性(xing)時可按(an)權重求(qiu)👈一個共(gong)同的流(liu)量比例(li)系數f,修(xiu)正蒸汽(qi)流量計(ji)示值。 3.4不(bu)确定度(du)來源分(fen)析 考慮(lü)到工況(kuang)參數壓(ya)力、溫度(du)的波動(dong)引起介(jie)質密度(du)、流速的(de)❤️變化🔞帶(dai)來的不(bu)确定度(du)分量,已(yi)包含在(zai)介質質(zhi)量🌏流量(liang)的重複(fu)性🈲條件(jian)下所得(de)測量列(lie)中,則主(zhu)要不确(que)定度分(fen)量✊來源(yuan)如下: 1)标(biao)準表本(ben)身精度(du)等級帶(dai)來的不(bu)确定度(du)分量ubzb; 2)鍋(guo)爐汽水(shui)系統不(bu)明洩漏(lou)帶來的(de)不确定(ding)度分量(liang)uxl; 3)儀表的(de)測量重(zhong)複性帶(dai)來的不(bu)确定度(du)分量ucfx; 4)上(shang)升管中(zhong)水位計(ji)讀數帶(dai)來的不(bu)确定度(du)分量uswj; 5)水(shui)位波動(dong)引起的(de)液态水(shui)與蒸汽(qi)之間變(bian)化的不(bu)确定度(du)分📧量🌈uswb。 示(shi)值誤差(cha)的各項(xiang)不确定(ding)分量通(tong)過查資(zi)料或計(ji)算可得(de),各不♍确(que)定度分(fen)量彼此(ci)不相關(guan),則可得(de)相對合(he)成标準(zhun)不确定(ding)度爲: 擴(kuo)展因子(zi)k=2時的相(xiang)對擴展(zhan)不确定(ding)度: Ur=2ur(5) 4結論(lun) 針對工(gong)業燃氣(qi)鍋爐主(zhu)蒸汽流(liu)量計現(xian)場無成(cheng)熟的㊙️檢(jian)定或校(xiao)準💜方法(fa),而實驗(yan)室校準(zhun)需要停(ting)産拆卸(xie)送檢,企(qi)⭕業普遍(bian)對蒸汽(qi)流量計(ji)計量準(zhun)确性存(cun)疑的現(xian)象,提出(chu)🍉了一種(zhong)針對鍋(guo)爐主蒸(zheng)汽流量(liang)計在線(xian)校核🏃♂️的(de)方法。此(ci)✔️方法是(shi)基于穩(wen)定工況(kuang)控制條(tiao)件下鍋(guo)爐水汽(qi)質量平(ping)衡方程(cheng),采用精(jing)度等級(ji)較✂️高的(de)給水流(liu)🙇🏻量和排(pai)污水流(liu)量動态(tai)在線校(xiao)準主蒸(zheng)汽流量(liang)計示值(zhi)。鍋爐主(zhu)📱蒸汽流(liu)量計示(shi)值的在(zai)線校核(he)可以快(kuai)速✉️判斷(duan)工業現(xian)場蒸汽(qi)計量的(de)正确率(lü),免去☎️了(le)拆卸送(song)檢的麻(ma)煩,在保(bao)證儀器(qi)性能、提(ti)高經濟(ji)效益方(fang)🔞面可🌈以(yi)發揮重(zhong)要的作(zuo)✍️用。
以上(shang)内容源(yuan)于網絡(luo),如有侵(qin)權聯系(xi)即删除(chu)!
•