国产久久精品 氣體轉子流量計的刻度與換算-江蘇省速惠自动化制造有限公司
  溫度儀表(biao)系列
  壓力(li)儀表系列(lie)
  流量儀表(biao)系列
  校驗(yan)儀表系列(lie)
  顯示儀表(biao)系列
  變送(song)器儀表系(xi)列
  電線電(dian)纜系列
 
  電(dian)磁流量計(ji)💋国产久久精品🤞的工作原(yuan)理
  氧化锆(gao)氧傳感器(qi)的原理及(ji)應用
  有害(hai)氣體檢測(ce)報警儀選(xuan)用原則
  我(wo)國計量用(yong)儀器儀表(biao)的發展和(he)現狀
  國内(nei)儀器儀表(biao)行業将發(fa)生高科....
  西(xi)安交大研(yan)制出超高(gao)溫沖擊壓(ya)....
  采用半導(dao)體精密溫(wen)度傳感......
  智(zhi)能溫度傳(chuan)感器的發(fa)展趨勢
  簡(jian)述幾種氣(qi)體檢測傳(chuan)感器.....
  利用(yong)傳感器技(ji)術制造智(zhi)能服裝
  新(xin)型傳感器(qi)監控魚群(qun)數量
   
 
聯系(xi)方式
 電話(hua)(市場部):  
       
        
   (拓(tuo)展部):
 傳真(zhen):
 節假日商(shang)務聯系電(dian)話:
 何經理(li):
 劉經理:
 郵(you)編:211600
 網址:/
    http://banyunshe.cc/
     [email protected]
 地(di)址:江蘇省(sheng)金湖縣工(gong)業園區環(huan)城西
 路269号(hao)
     

氣體轉(zhuan)子流量計(ji)的刻度與(yu)換算 
發布(bu)時間:2025-11-27

摘 要(yao):氣體轉子(zi)流量計 刻(ke)度和換算(suan)中所使用(yong)的修正公(gong)式看起來(lai)似乎很簡(jian)單,事實上(shang)由于對修(xiu)正的概念(nian)解釋含糊(hu),或者用戶(hu)理解不清(qing),往往不能(neng)得到正确(que)的結果,關(guan)轉子流量(liang)計标準狀(zhuang)态刻度與(yu)換算、實際(ji)使用狀态(tai)刻度的方(fang)法和所使(shi)用的公式(shi),以及換算(suan)公式中流(liu)量計前壓(ya)在測量困(kun)🈲難時所采(cai)用的一種(zhong)近似測量(liang)和估計的(de)方法,希望(wang)給轉子流(liu)量計的使(shi)用者一點(dian)提示。
1 引 言(yan)
  氣體轉子(zi)流量計上(shang)的刻線一(yi)般分爲兩(liang)種,一種是(shi)浮子🆚上下(xia)位移的高(gao)度百分比(bi)刻線,另一(yi)種是按某(mou)種刻度狀(zhuang)态定度的(de)标況🔞體積(ji)流量刻線(xian),采用高度(du)刻線的轉(zhuan)子流❓量計(ji)需要一張(zhang)刻線-流量(liang)表或刻線(xian)-流量曲線(xian)圖,這就需(xu)要刻度,采(cai)用流量刻(ke)線的轉子(zi)流量計若(ruo)要改變刻(ke)度狀态也(ye)需要重新(xin)刻度或者(zhe)換算使用(yong)(例如空氣(qi)刻度轉子(zi)改用于氫(qing)氣測量)。
  在(zai)JJG257-1994《轉子流量(liang)計檢定規(gui)程》上有按(an)标準狀态(tai)101.325KPa、293.15K刻度的公(gong)式,現🥵在💜國(guo)外進口的(de)轉子流量(liang)計有的是(shi)根據用💋戶(hu)實際測☔量(liang)氣☔體和💛狀(zhuang)态進行刻(ke)度,有些用(yong)戶爲了使(shi)用方便,也(ye)要求把标(biao)準刻度的(de)流量計按(an)照他們✂️的(de)使用狀♈态(tai)重新刻度(du),這就需要(yao)将檢定規(gui)程中的計(ji)算公式調(diao)整一下,以(yi)适應現在(zai)的工作需(xu)要。
  實氣标(biao)定時要使(shi)用高壓氣(qi)瓶的純淨(jing)氣體,包括(kuo)氮氣🈲、氧🙇‍♀️氣(qi)、氩🐆氣等,高(gao)壓氣源減(jian)壓後經過(guo)流量計到(dao)标準裝置(zhi),這時流量(liang)計前壓力(li)的測量是(shi)一個突出(chu)的問題。
2 修(xiu)正公式中(zhong)的符号
  JJG257-1994《轉(zhuan)子流量計(ji)檢定規程(cheng)》上用鍾罩(zhao)式或皂膜(mo)式氣體📧流(liu)量标準裝(zhuang)置對流量(liang)計刻度,标(biao)準刻度狀(zhuang)态下的标(biao)況流量。

  是(shi)對試驗時(shi)流量計前(qian)狀态到刻(ke)度狀态的(de)修正,這時(shi)刻度狀态(tai)等于标準(zhun)狀态,試驗(yan)氣體和刻(ke)度氣體🔞相(xiang)同。若不是(shi)這種情況(kuang),就需要區(qu)分刻度狀(zhuang)态和标準(zhun)狀态,增加(jia)部分參數(shu),符号重新(xin)定義如表(biao)1所示。
3 刻度(du)qN和qCN
3.1 标準狀(zhuang)态刻度
氣(qi)體轉子流(liu)量計的刻(ke)度與換算(suan)  


使用鍾罩(zhao)或皂膜等(deng)氣體流量(liang)标準裝置(zhi)測量流量(liang)計前實際(ji)流量時,由(you)下式求得(de):

使用标準(zhun)轉子流量(liang)計測量流(liu)量計前實(shi)際流量時(shi)⚽,由下式求(qiu)得🌍:

使用鍾(zhong)罩或皂膜(mo)等氣體流(liu)量标準裝(zhuang)置測量流(liu)量計前🔴實(shi)❗際流💃量時(shi),由下式求(qiu)得:

使用标(biao)準轉子流(liu)量計測量(liang)流量計前(qian)實際流量(liang)時,由下式(shi)💁求得:

  通過(guo)非标準狀(zhuang)态刻度後(hou),由于使用(yong)狀态與刻(ke)度狀🧑🏾‍🤝‍🧑🏼态一(yi)緻,直接讀(du)出的刻度(du)流量顯示(shi)值就是用(yong)戶需要的(de)🆚流量值,不(bu)🥰需要進行(hang)任何換算(suan),提高了測(ce)量效率。
4 從(cong)qN換算到qmN和(he)qm0
  有些經過(guo)标準刻度(du)的流量計(ji)實際使用(yong)狀态與刻(ke)度❤️狀态不(bu)同,使用時(shi)需要換算(suan),實際使用(yong)時測量流(liu)量計前壓(ya)力和溫度(du),流量計前(qian)實際流量(liang)用qm表示,公(gong)式如下:

5 流(liu)量計前狀(zhuang)态的估計(ji)
  流量計在(zai)系統中的(de)正确安裝(zhuang)是上遊安(an)裝一個全(quan)開截⛷️止閥(fa),下遊安裝(zhuang)流量調節(jie)閥,在使用(yong)時,應緩慢(man)地開啓上(shang)遊的截止(zhi)閥,然⭐後用(yong)下遊的流(liu)量調節閥(fa)調節流量(liang),當流量計(ji)停止計量(liang)時應緩慢(man)地關閉截(jie)止閥,然後(hou)✏️再關閉流(liu)量調節閥(fa)。
  但是現在(zai)許多廠家(jia)的流量計(ji)在上遊基(ji)座上安裝(zhuang)針型🌈流💛量(liang)調節閥用(yong)于減壓限(xian)流,确保轉(zhuan)子流量計(ji)的安全,下(xia)✌️遊無任何(he)🎯節流件,這(zhe)時測量的(de)流量計入(ru)💜口上遊㊙️5倍(bei)公稱直徑(jing)範圍内的(de)壓力其實(shi)是閥前壓(ya),要确保壓(ya)力測量準(zhun)确,必須拆(chai)卸基座,直(zhi)接将氣源(yuan)🛀🏻與玻璃錐(zhui)管相連接(jie)來進行檢(jian)定,檢定後(hou)的複原經(jing)☔常不能保(bao)證密封質(zhi)量,并且經(jing)常損壞玻(bo)璃錐管。
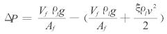
  因(yin)爲流量計(ji)下遊無任(ren)何節流件(jian),這種情況(kuang)下測量流(liu)量計後壓(ya)是比較方(fang)便的,流量(liang)計後壓加(jia)上一個壓(ya)差估計值(zhi)就近似的(de)獲🈲得流量(liang)計前壓。浮(fu)子上下遊(you)的壓力差(cha)等于重力(li)減去動壓(ya)力與浮力(li)之和,公式(shi)如下:

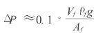
這個(ge)壓力差相(xiang)對于重力(li)是非常小(xiao)的(估計約(yue)爲10%),那麽公(gong)式簡化🌈爲(wei):

φ3mm球形鋼浮(fu)子的壓力(li)差估計值(zhi)約爲15Pa。
這時(shi)流量計後(hou)壓比閥前(qian)壓更接近(jin)流量計前(qian)壓,采用這(zhe)種♈方法估(gu)計工作狀(zhuang)态壓力就(jiu)不需要拆(chai)卸基🔅座,檢(jian)✏️定過程要(yao)🥰簡便一些(xie)。
6 結束語
  檢(jian)定和刻度(du)氣體轉子(zi)流量計時(shi),通常是用(yong)物理性🈲能(neng)穩㊙️定的♋空(kong)氣作爲介(jie)質,而且統(tong)一換算到(dao)标準狀态(tai)(20℃、101325Pa)進行刻度(du),用🐪于測量(liang)其它氣體(ti)時,采用修(xiu)正公式進(jin)行密度、溫(wen)度、壓力三(san)🏃‍♀️參數的修(xiu)正是有較(jiao)大誤差的(de),最好采用(yong)實際測量(liang)氣體進行(hang)實氣标定(ding),并且在試(shi)驗時注意(yi)考慮溫度(du)和氣體粘(zhan)度的🔆影響(xiang),将測量🏃🏻‍♂️不(bu)确定度控(kong)制在最小(xiao)範圍内。

以(yi)上内容來(lai)源于網絡(luo),如有侵權(quan)請聯系即(ji)删除!

下篇(pian)文章: 渦街(jie)流量計在(zai)蒸汽檢測(ce)中溫度壓(ya)力補償 上(shang)篇文章 電(dian)磁流量計(ji)和超聲流(liu)量計在線(xian)驗證
 
江蘇(su)省速惠自动化制造有限公司是一家(jia)專業提供(gong) 渦街流量(liang)計 渦輪流(liu)量計 電磁(ci)流量計 的(de)企業,公司(si)将以優質(zhi)的服務優(you)惠的價格(ge),服務新老(lao)客戶。
 版權(quan)所有:江蘇(su)省速惠自动化制造有限公司       技術支(zhi)持易品網(wang)絡

·
·· 
 
·