|
聯(lian)系方式(shi)
|
|
電話(市(shi)場部):
|
|
|
|
|
|
(拓(tuo)展部):
|
|
傳(chuan)真:
|
節假(jia)日商務(wu)聯系電(dian)話:
何經(jing)理:
劉經(jing)理:
|
|
郵編(bian):211600
|
|
網址:/
|
|
http://banyunshe.cc/
|
|
E-mail:[email protected]
|
|
[email protected]
|
地(di)址:江蘇(su)省金湖(hu)縣工業(ye)園區環(huan)城西
路(lu)269号
|
|
|
|
您現(xian)在的位(wei)置 > 首頁(ye)
> 行業新(xin)聞
> 蒸汽(qi)測量中(zhong)渦街流(liu)量計誤(wu)差分析(xi)
|
|
|
|
|
|
蒸汽測(ce)量中渦(wo)街流量(liang)計誤差(cha)分析
發(fa)布時間(jian):2025-11-27
|
[摘要]介(jie)紹了以(yi)渦街流(liu)量計
測(ce)量蒸汽(qi)時的誤(wu)差分析(xi),分析了(le)在蒸汽(qi)測量中(zhong)影響渦(wo)街流㊙️量(liang)計測量(liang)精度的(de)因素,以(yi)及解決(jue)的方法(fa)。
1.引言
蒸(zheng)汽是石(shi)化企業(ye)使用的(de)最爲廣(guang)泛的二(er)次能源(yuan),其🚶♀️測量(liang)的正确(que)率對節(jie)約能源(yuan)、提高經(jing)濟效益(yi)等各方(fang)面都有(you)重要意(yi)義。目🈲前(qian),蒸汽的(de)測量主(zhu)要有渦(wo)街流‼️量(liang)計、差壓(ya)式(
孔闆(pan)流量計(ji)
、彎管、均(jun)速管)流(liu)量計等(deng),在蒸汽(qi)計量上(shang)選用的(de)都是渦(wo)街流量(liang)計。主要(yao)讨論渦(wo)街流量(liang)計在蒸(zheng)汽測量(liang)中的誤(wu)差分析(xi)。
2.渦街流(liu)量計的(de)特點
2.1輸(shu)出的信(xin)号是與(yu)流速成(cheng)正比的(de)脈沖信(xin)号,便于(yu)數據處(chu)理和計(ji)算機聯(lian)網。
2.2量程(cheng)範圍寬(kuan),精度高(gao)。
2.3無可動(dong)部件,可(ke)靠性較(jiao)高,結構(gou)簡單,便(bian)于安裝(zhuang)和維📱修(xiu)💃🏻。
2.4檢測元(yuan)件和被(bei)測介質(zhi)不直接(jie)接觸,不(bu)受流體(ti)的化學(xue)性質☁️影(ying)響🌐,應用(yong)範圍寬(kuan),壽命長(zhang)。
2.5抗幹擾(rao)能力強(qiang),容易進(jin)行流量(liang)計算,不(bu)受流體(ti)的物理(li)🚶♀️性質的(de)影響,給(gei)儀表的(de)标定和(he)使用帶(dai)來了方(fang)便。
3.渦街(jie)流量計(ji)的工作(zuo)原理
渦(wo)街流量(liang)計是基(ji)于卡門(men)渦街原(yuan)理制成(cheng)的一種(zhong)流體👈震(zhen)蕩性流(liu)量計,即(ji)在流動(dong)的流體(ti)中放置(zhi)一個非(fei)流線型(xing)的對稱(cheng)🧑🏾🤝🧑🏼形狀的(de)物🌏體(即(ji)旋渦發(fa)生體),就(jiu)會在🔅其(qi)下遊兩(liang)側産生(sheng)兩列有(you)規律的(de)旋渦,其(qi)旋渦頻(pin)率正比(bi)于流體(ti)流速:
f=Stu/d
式(shi)中:f:旋渦(wo)頻率;d:旋(xuan)渦發生(sheng)體的寬(kuan)度;u:流體(ti)流速;St:斯(si)特㊙️勞哈(ha)爾數。
St的(de)值與旋(xuan)渦發生(sheng)體寬度(du)d和雷諾(nuo)數Re有關(guan)。當2×104〈Re〈7×104的範(fan)圍👄内,St的(de)♋值基本(ben)☔不變。
上(shang)式表明(ming),當d和St爲(wei)定值時(shi),旋渦産(chan)生的頻(pin)率F與流(liu)體📱的平(ping)㊙️均速度(du)🔞u成正比(bi),利用這(zhe)一特點(dian)制成了(le)渦街流(liu)量計💚。
4.蒸(zheng)汽的測(ce)量
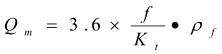
測量(liang)蒸汽的(de)流量計(ji)分爲直(zhi)接質量(liang)流量計(ji)和推導(dao)式質量(liang)流♈量計(ji),渦街流(liu)量計測(ce)量蒸汽(qi)流量屬(shu)于推導(dao)式質量(liang)流量‼️計(ji),其表達(da)❄️式爲:
式(shi)中:Qm:蒸汽(qi)的質量(liang)流量,Kg/h;f:渦(wo)街流量(liang)計輸出(chu)頻率,P/s;Kt:工(gong)作狀态(tai)下的流(liu)量系數(shu),P/L;ρf:流體密(mi)度,Kg/m3。
從上(shang)式可知(zhi),渦街流(liu)量計測(ce)量蒸汽(qi)流量主(zhu)要是蒸(zheng)汽密度(du)的求取(qu),而蒸汽(qi)的密度(du)可以根(gen)據溫度(du)、壓力㊙️的(de)值👣查表(biao)得到。由(you)于蒸汽(qi)分爲飽(bao)和蒸汽(qi)和過熱(re)蒸汽,對(dui)于過熱(re)蒸汽要(yao)進行溫(wen)壓補償(chang),對于真(zhen)正意義(yi)上的飽(bao)和蒸汽(qi)隻需進(jin)行溫度(du)或壓力(li)補償即(ji)可,下🍓面(mian)進行讨(tao)論。
4.1過熱(re)蒸汽
在(zai)實際測(ce)量時,由(you)于工況(kuang)的變化(hua),飽和蒸(zheng)汽和過(guo)熱蒸汽(qi)都💜有可(ke)🐇能偏離(li)原來的(de)設計狀(zhuang)态,就使(shi)得通常(chang)由蒸汽(qi)溫度、壓(ya)力求取(qu)密度的(de)關系發(fa)生變化(hua),對計😄量(liang)的準确(que)性造成(cheng)影響,當(dang)過熱蒸(zheng)汽在經(jing)過長距(ju)離🏃的輸(shu)送後,或(huo)由于管(guan)道保溫(wen)措㊙️施不(bu)當,往🈲往(wang)會因爲(wei)熱量的(de)損失♈溫(wen)度降低(di)使其從(cong)過熱狀(zhuang)态進入(ru)臨界飽(bao)和狀态(tai),甚至部(bu)分蒸汽(qi)冷凝出(chu)現相變(bian)而變成(cheng)水🈲滴。這(zhe)些水🌐滴(di)對流量(liang)的測量(liang)究竟有(you)多大的(de)影響,下(xia)面舉例(li)說明。
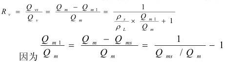
自(zi)産蒸汽(qi)壓力爲(wei)1.0MPa的過熱(re)蒸汽,其(qi)流量爲(wei)Qm,假設經(jing)長距離(li)的輸送(song)後有10%Qm冷(leng)凝成水(shui)滴,令其(qi)爲Qm1,而保(bao)持汽态(tai)的部分(fen)爲Qms,從定(ding)義可知(zhi),此時濕(shi)蒸汽的(de)幹度X爲(wei)90%。由于采(cai)用溫壓(ya)補償,故(gu)依臨界(jie)飽和狀(zhuang)态查表(biao),得到此(ci)時🔞的蒸(zheng)汽(幹👣部(bu)分)密度(du)ρs=5.6808kg/m3,查水密(mi)度表得(de)水滴的(de)密度ρL=882.47kg/m3,顯(xian)然水滴(di)和蒸📐汽(qi)幹部分(fen)的體積(ji)流量爲(wei)💯:
Qv1=Qm1/ρLQvs=Qms/ρs
式中:Qv1:水(shui)滴的體(ti)積流量(liang),m3/s;
Qvs:蒸汽幹(gan)部分的(de)體積流(liu)量,m3/s。
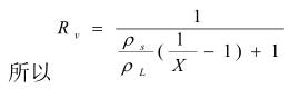
由定(ding)義知,蒸(zheng)汽幹部(bu)分體積(ji)流量占(zhan)濕蒸汽(qi)總體積(ji)流量之(zhi)比Rv爲:
在(zai)該例中(zhong),Rv=99.93%,由此可(ke)見,在濕(shi)蒸汽中(zhong),水滴所(suo)占的體(ti)積比可(ke)💛忽♻️略不(bu)計。渦街(jie)流量計(ji)的輸出(chu)僅與流(liu)過測量(liang)管的流(liu)體流速(su)🚶♀️成正比(bi),在測濕(shi)的飽和(he)蒸汽時(shi),水滴對(dui)渦街流(liu)量計輸(shu)出的🤞影(ying)響可忽(hu)略,故💔可(ke)認爲,渦(wo)街流量(liang)計的輸(shu)出完全(quan)是由飽(bao)和蒸汽(qi)幹部👣分(fen)所引起(qi)的,而幹(gan)部分的(de)密度無(wu)論是溫(wen)度補償(chang)或壓力(li)補償都(dou)可以正(zheng)确✍️的查(cha)出;如果(guo)需要‼️将(jiang)冷凝水(shui)也按蒸(zheng)汽一樣(yang)進行🏃🏻♂️計(ji)量,則渦(wo)街流量(liang)計的計(ji)✍️算結果(guo)則偏低(di)1-X。
4.2飽和蒸(zheng)汽
當渦(wo)街流量(liang)計安裝(zhuang)在減壓(ya)閥後,飽(bao)和蒸汽(qi)突然大(da)幅度減(jian)壓,流體(ti)出現絕(jue)熱膨脹(zhang),水滴部(bu)分蒸發(fa),同時從(cong)液相和(he)✊汽相中(zhong)吸收汽(qi)化熱,使(shi)汽液相(xiang)溫度降(jiang)低。如果(guo)溫度降(jiang)低的不(bu)多或蒸(zheng)發前濕(shi)度較高(gao),會使溫(wen)度迅速(su)降低到(dao)與新的(de)壓力所(suo)💘對應的(de)飽和溫(wen)度,建立(li)新的平(ping)衡。這時(shi)蒸汽仍(reng)爲飽和(he)蒸汽,如(ru)果壓力(li)降低的(de)很多或(huo)蒸發前(qian)濕度較(jiao)低,則因(yin)水滴蒸(zheng)發溫度(du)降低後(hou)仍高于(yu)新的壓(ya)力所對(dui)應的飽(bao)和溫度(du),則蒸汽(qi)變爲過(guo)熱蒸汽(qi)。
上述蒸(zheng)發發生(sheng)後,前一(yi)種對補(bu)償無影(ying)響,僅僅(jin)是蒸汽(qi)中幹部(bu)🐪分增加(jia),幹度相(xiang)應增大(da),後一種(zhong)情況即(ji)飽🔞和蒸(zheng)👌汽變爲(wei)過熱蒸(zheng)汽,這時(shi)對流量(liang)計的影(ying)響分爲(wei)以下三(san)種情況(kuang):
(1)如果流(liu)量計已(yi)經考慮(lü)到蒸汽(qi)變爲過(guo)熱狀态(tai),或處于(yu)㊙️何種👌狀(zhuang)态難以(yi)确定,或(huo)有時是(shi)過熱狀(zhuang)态有時(shi)是🈲飽和(he)狀态,所(suo)以采用(yong)溫壓補(bu)償,則上(shang)述的狀(zhuang)态對測(ce)量結果(guo)💋無影響(xiang)。
(2)如果流(liu)量計按(an)飽和蒸(zheng)汽考慮(lü),而且采(cai)用壓力(li)補償,則(ze)上述相(xiang)變将帶(dai)來較小(xiao)的誤差(cha),即過熱(re)蒸汽溫(wen)度🥰同飽(bao)和蒸汽(qi)之差所(suo)對應的(de)密度差(cha)造成的(de)補償誤(wu)差。
(3)如果(guo)流量計(ji)按飽和(he)蒸汽考(kao)慮,但采(cai)用的是(shi)溫度補(bu)償,即将(jiang)過熱😘蒸(zheng)汽當作(zuo)飽和溫(wen)度去查(cha)密度表(biao),一般會(hui)引起較(jiao)大的誤(wu)差。
如某(mou)化工廠(chang)鍋爐房(fang)供飽和(he)蒸汽,并(bing)根據各(ge)用戶中(zhong)蒸汽壓(ya)力要求(qiu)值最高(gao)的一個(ge)決定鍋(guo)爐供汽(qi)壓力爲(wei)1.0MPa,多數用(yong)戶在蒸(zheng)汽🔴總管(guan)進裝置(zhi)時先經(jing)減壓閥(fa)進行減(jian)壓。
用作(zuo)進入裝(zhuang)置蒸汽(qi)計量的(de)渦街流(liu)量計安(an)裝在減(jian)壓(穩壓(ya))閥之後(hou)。原設計(ji)按飽和(he)蒸汽考(kao)慮,采用(yong)溫度補(bu)償。經減(jian)㊙️壓,蒸🈲汽(qi)總管帶(dai)入的水(shui)滴蒸發(fa)完後氣(qi)溫仍高(gao)于飽和(he)溫度,呈(cheng)過🐆熱狀(zhuang)态,現場(chang)采集到(dao)的數據(ju)如下表(biao)。
|
減壓後(hou)溫度T2
|
162.4℃
|
|
減(jian)壓後壓(ya)力P2
|
0.42MPa
|
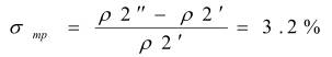
這時(shi)流量二(er)次表按(an)照所測(ce)量到的(de)溫度T2=162.4℃查(cha)飽和蒸(zheng)汽密度(du)表,得ρ2=3.4528kg/m3而(er)按照T2和(he)P2兩個測(ce)量值查(cha)過熱蒸(zheng)汽密度(du)表,得密(mi)🏃♀️度ρ2′=2.6897kg/m3,所以(yi)質量流(liu)量計結(jie)果出現(xian)28.47%的誤差(cha),即:
在本(ben)例中,如(ru)果采用(yong)壓力補(bu)償,則根(gen)據P2=0.42MPa的信(xin)号查飽(bao)和蒸汽(qi)密度表(biao),應得到(dao)ρ2″=2.7761kg/m3,則補償(chang)誤差爲(wei):
5.結束語(yu)
某化工(gong)廠在對(dui)蒸汽的(de)性質逐(zhu)一确定(ding)後,針對(dui)不同地(di)方蒸汽(qi)🧑🏾🤝🧑🏼的性質(zhi)作相應(ying)的補償(chang)系數,使(shi)廠内的(de)蒸汽産(chan)出與消(xiao)耗基本(ben)平衡起(qi)來了,對(dui)生産調(diao)整以及(ji)節能降(jiang)耗起到(dao)✉️了指導(dao)性的作(zuo)用。渦街(jie)流量計(ji)在蒸汽(qi)測量中(zhong)影響其(qi)測量精(jing)度因素(su)有很多(duo),但隻要(yao)在👈日常(chang)使用中(zhong)☁️,注意以(yi)下幾點(dian),其測量(liang)精⭐度将(jiang)會很高(gao)。
(1)儀表選(xuan)型時,首(shou)先清楚(chu)蒸汽的(de)工況處(chu)于何種(zhong)狀态,這(zhe)樣能夠(gou)保😍證儀(yi)表的測(ce)量精度(du)。
(2)将流量(liang)計安裝(zhuang)在減壓(ya)閥之前(qian)的總管(guan)線上,由(you)于蒸汽(qi)未♻️經🏃♂️減(jian)壓😘,一般(ban)不存在(zai)相變問(wen)題,所以(yi)将流量(liang)計安裝(zhuang)在減壓(ya)閥🧡之前(qian),按飽和(he)蒸汽補(bu)償方法(fa)處理,可(ke)保證測(ce)量精度(du)。
(3)加強蒸(zheng)汽管道(dao)的保溫(wen),減少冷(leng)凝水的(de)産生和(he)防止蒸(zheng)汽的性(xing)🥵質轉變(bian)。
以上内(nei)容來源(yuan)于網絡(luo),如有侵(qin)權請聯(lian)系即删(shan)除!
|
|
|
|
|