五月丁香综合 薄壁銳孔孔闆流量計算方法比較分析-江蘇省速惠自动化制造有限公司

 

;                  
                   
        首(shou)   頁│  公司(si)簡介  産(chan)品中心(xin)  質量體(ti)系  銷售(shou)網絡  聯(lian)系我們(men)
 
  溫度儀(yi)表系列(lie)
  壓力儀(yi)表系列(lie)
  流量儀(yi)表系列(lie)
  校驗儀(yi)表系列(lie)
  顯示儀(yi)表系列(lie)
  變送器(qi)儀表系(xi)列
  電線(xian)電纜系(xi)列
 
  電磁(ci)流量計(ji)的工作(zuo)原💋五月丁香综合💛理
  氧(yang)化锆氧(yang)傳感器(qi)的原理(li)及應用(yong)
  有害氣(qi)體檢測(ce)報警儀(yi)選用原(yuan)則
  我國(guo)計量用(yong)儀器儀(yi)表的發(fa)展和現(xian)狀
  國内(nei)儀器儀(yi)表行業(ye)将發生(sheng)高科....
  西(xi)安交大(da)研制出(chu)超高溫(wen)沖擊壓(ya)....
  采用半(ban)導體精(jing)密溫度(du)傳感......
  智(zhi)能溫度(du)傳感器(qi)的發展(zhan)趨勢
 
  利用(yong)傳感器(qi)技術制(zhi)造智能(neng)服裝
  新(xin)型傳感(gan)器監控(kong)魚群數(shu)量
 
 
聯系(xi)方式
  電(dian)話(市場(chang)部):  
      
      
   (拓展(zhan)部):
     傳真(zhen):
  節假日(ri)商務聯(lian)系電話(hua):
  何經理(li):
  劉經理(li):
 網(wang)址:/
    http://banyunshe.cc/
 E-mail:[email protected]
 地址(zhi):江蘇省(sheng)金湖縣(xian)工業園(yuan)區環城(cheng)西
 路269号(hao)
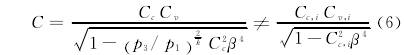
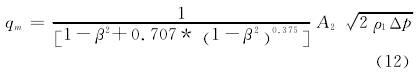
 您現在(zai)的位置(zhi) > 首頁 > 行(hang)業新聞(wen) > 薄壁銳(rui)孔孔闆(pan)流量計(ji)算方法(fa)比較分(fen)析
     

 
江(jiang)蘇省速惠自动化制造有限公司是(shi)一家專(zhuan)業提供(gong) 渦街流(liu)量計 渦(wo)輪流量(liang)計 電磁(ci)流量計(ji) 的企業(ye),公司将(jiang)以優質(zhi)的服務(wu)優惠的(de)價格,服(fu)務新老(lao)客戶。
 版(ban)權所有(you):江蘇省(sheng)速惠自动化制造有限公司       技術支(zhi)持易品(pin)網絡

 
·
·