摘要(yao):用于(yu)高雷(lei)諾數(shu)流體(ti)測量(liang)的電(dian)磁流(liu)量計(ji)
,其傳(chuan)感器(qi)測量(liang)電極(ji)的表(biao)面粗(cu)糙度(du)将會(hui)對電(dian)極附(fu)♈近📐的(de)流場(chang)産生(sheng)影響(xiang)。根據(ju)電磁(ci)流量(liang)傳感(gan)器的(de)權重(zhong)函數(shu)⛱️理論(lun)可知(zhi),電極(ji)附近(jin)流場(chang)的變(bian)化将(jiang)極大(da)的影(ying)響電(dian)磁流(liu)量計(ji)的測(ce)量信(xin)号,導(dao)緻測(ce)量結(jie)果産(chan)生誤(wu)差。該(gai)文提(ti)出了(le)一種(zhong)👣使電(dian)磁流(liu)量傳(chuan)感器(qi)測量(liang)電極(ji)的表(biao)面粗(cu)糙度(du)不影(ying)響流(liu)🛀🏻場的(de)方法(fa),首先(xian)應用(yong)CFD方法(fa)分析(xi)了測(ce)量電(dian)極粗(cu)糙度(du)對流(liu)場的(de)影響(xiang),然後(hou)用權(quan)重函(han)數理(li)👅論分(fen)析了(le)測量(liang)誤差(cha)産生(sheng)🔅的原(yuan)因,提(ti)出了(le)對❌電(dian)磁流(liu)量傳(chuan)感器(qi)的結(jie)構改(gai)造方(fang)案⛹🏻♀️,最(zui)後通(tong)過流(liu)場仿(pang)真驗(yan)證了(le)改造(zao)方案(an)的可(ke)行性(xing)。結果(guo)表明(ming),該文(wen)🔞提出(chu)的方(fang)法可(ke)以很(hen)好的(de)解決(jue)測量(liang)電極(ji)表面(mian)粗糙(cao)度造(zao)成的(de)測量(liang)誤差(cha)問題(ti)。
0引言(yan)
電磁(ci)流量(liang)傳感(gan)器在(zai)測量(liang)高流(liu)速流(liu)體時(shi),測量(liang)管道(dao)内流(liu)㊙️體的(de)雷諾(nuo)數很(hen)高,流(liu)體流(liu)動呈(cheng)現爲(wei)湍流(liu)狀态(tai),在湍(tuan)流狀(zhuang)态下(xia)流場(chang)的邊(bian)緣部(bu)分即(ji)靠近(jin)管壁(bi)和電(dian)極部(bu)分的(de)流體(ti),有一(yi)部分(fen)不參(can)與運(yun)動,這(zhe)部分(fen)流體(ti)叫做(zuo)黏性(xing)底層(ceng)中。黏(nian)性底(di)層的(de)厚度(du)與流(liu)體雷(lei)諾數(shu)有關(guan),雷諾(nuo)數越(yue)大,則(ze)黏性(xing)🍓底層(ceng)的厚(hou)度越(yue)小,當(dang)其厚(hou)❌度小(xiao)于電(dian)極的(de)粗糙(cao)度時(shi),流體(ti)流過(guo)電極(ji),受粗(cu)糙度(du)影響(xiang),電極(ji)附近(jin)的💯流(liu)場将(jiang)會改(gai)變,并(bing)💰且會(hui)産生(sheng)旋渦(wo),出🐇現(xian)各個(ge)方向(xiang)的流(liu)🧑🏽🤝🧑🏻速分(fen)量,和(he)軸向(xiang)方🔱向(xiang)相或(huo)相反(fan)附加(jia)的流(liu)速分(fen)量傳(chuan)遞到(dao)電極(ji)上将(jiang)形成(cheng)流速(su)噪聲(sheng),疊加(jia)到測(ce)量的(de)流速(su)中。根(gen)據權(quan)重函(han)數理(li)💋論[2-4]可(ke)以知(zhi)道,測(ce)量電(dian)極附(fu)近流(liu)場的(de)權重(zhong)函數(shu)值很(hen)大,這(zhe)部分(fen)流場(chang)即使(shi)微小(xiao)的改(gai)變也(ye)将對(dui)🈲電磁(ci)流量(liang)傳感(gan)器的(de)測量(liang)結果(guo)🏃🏻♂️造成(cheng)很大(da)的誤(wu)差[5]。爲(wei)了避(bi)免這(zhe)🏃種誤(wu)差的(de)産生(sheng),就必(bi)須使(shi)電極(ji)的粗(cu)糙度(du)小于(yu)黏性(xing)底層(ceng)的厚(hou)度,這(zhe)樣對(dui)生産(chan)工藝(yi)的要(yao)求會(hui)提高(gao),增加(jia)生産(chan)成本(ben);并且(qie)測量(liang)電極(ji)持續(xu)受到(dao)流體(ti)中微(wei)小固(gu)體顆(ke)粒的(de)撞擊(ji),表面(mian)粗💁糙(cao)度不(bu)可避(bi)免的(de)會增(zeng)大。文(wen)獻[6]對(dui)電磁(ci)流量(liang)傳感(gan)器的(de)電極(ji)材料(liao)、使用(yong)範圍(wei)🏒及各(ge)種電(dian)極形(xing)狀在(zai)不同(tong)應用(yong)場合(he)的電(dian)磁流(liu)量傳(chuan)感器(qi)上的(de)選用(yong)與安(an)裝做(zuo)了總(zong)結,列(lie)出了(le)測量(liang)電極(ji)的常(chang)用材(cai)料與(yu)💁各種(zhong)材料(liao).形狀(zhuang)電極(ji)的應(ying)用特(te)點和(he)應用(yong)場🧑🏽🤝🧑🏻合(he),表明(ming)測量(liang)電極(ji)的表(biao)面粗(cu)糙度(du)是客(ke)觀存(cun)在的(de),然而(er)文獻(xian)未提(ti)及電(dian)極表(biao)面粗(cu)糙度(du)對測(ce)量的(de)影🏒響(xiang)。文獻(xian)[7]對電(dian)磁流(liu)量傳(chuan)感器(qi)測量(liang)電極(ji)與絕(jue)緣襯(chen)裏的(de)粗糙(cao)度對(dui)測量(liang)的影(ying)響做(zuo)了研(yan)究,通(tong)過在(zai)試驗(yan)中發(fa)現當(dang)雷諾(nuo)數達(da)到某(mou)--高度(du),測量(liang)會出(chu)現一(yi)個上(shang)升的(de)誤差(cha)拐點(dian),在此(ci)基礎(chu)上應(ying)用測(ce)量管(guan)的粗(cu)糙度(du)與邊(bian)界層(ceng)厚度(du)的關(guan)系,基(ji)于電(dian)礅流(liu)量傳(chuan)感器(qi)感應(ying)電📱勢(shi)的權(quan)重函(han)數理(li)論,解(jie)釋了(le)這是(shi)一種(zhong)流速(su)噪聲(sheng)所引(yin)起的(de)㊙️現象(xiang)😍,并由(you)此得(de)出降(jiang)低此(ci)類噪(zao)聲,需(xu)要在(zai)制造(zao)技術(shu)上提(ti)高傳(chuan)感器(qi)測量(liang)管襯(chen)裏和(he)電極(ji)粗糙(cao)度的(de)結論(lun),但并(bing)沒有(you)給出(chu)⛷️具體(ti)的解(jie)決方(fang)🍉案。國(guo)内現(xian)有一(yi)些研(yan)究[8-9]提(ti)出采(cai)用多(duo)電極(ji)的方(fang)法可(ke)以提(ti)❓高電(dian)磁流(liu)量計(ji)的測(ce)量精(jing)度,這(zhe)類方(fang)法雖(sui)然也(ye)㊙️可以(yi)降低(di)噪聲(sheng),但是(shi)由于(yu)電極(ji)的增(zeng)加,是(shi)電磁(ci)流量(liang)計的(de)結👄構(gou)變的(de)更爲(wei)複雜(za)☂️,且會(hui)提高(gao)電磁(ci)⚽流量(liang)計的(de)生産(chan)成本(ben)。現👉有(you)相關(guan)文獻(xian)并未(wei)提及(ji)用改(gai)造傳(chuan)💚感器(qi)✔️結構(gou)的方(fang)法來(lai)克服(fu)測☂️量(liang)電極(ji)表面(mian)粗糙(cao)度造(zao)成的(de)測量(liang)誤差(cha)問題(ti)。該🌈文(wen)提出(chu)✏️了一(yi)種方(fang)法:通(tong)過改(gai)造測(ce)量電(dian)🤟極附(fu)近的(de)電磁(ci)流量(liang)傳感(gan)器結(jie)構,使(shi)測量(liang)管道(dao)内的(de)流場(chang)不受(shou)測量(liang)電極(ji)表面(mian)粗糙(cao)度的(de)影響(xiang),從而(er)實現(xian)避免(mian)測量(liang)電極(ji)表面(mian)粗糙(cao)度引(yin)起測(ce)量誤(wu).差的(de)目的(de)。
1電極(ji)表面(mian)粗糙(cao)度對(dui)電磁(ci)流量(liang)傳感(gan)器測(ce)量的(de)影響(xiang)
電極(ji)表面(mian)粗糙(cao)度對(dui)電磁(ci)流量(liang)傳感(gan)器測(ce)量的(de)造成(cheng)的💚影(ying)響,可(ke)以㊙️用(yong)CFD方法(fa)和電(dian)磁流(liu)量傳(chuan)感器(qi)的權(quan)重函(han)數[2]理(li)論解(jie)釋。
在(zai)電磁(ci)流量(liang)傳感(gan)器測(ce)量電(dian)極爲(wei)理想(xiang)光滑(hua)材料(liao)的情(qing)況下(xia),應用(yong)CFD方法(fa)對電(dian)磁流(liu)量計(ji)管道(dao)流場(chang)進行(hang)分析(xi),對于(yu)流動(dong)數學(xue)模型(xing)的建(jian)立,需(xu)要有(you)以下(xia)條件(jian):
1)流體(ti)爲連(lian)續不(bu)可壓(ya)縮流(liu)體,物(wu)理特(te)性爲(wei)常數(shu)。
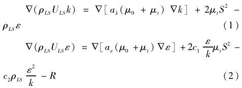
2)流體(ti)無相(xiang)變,同(tong)時不(bu)考慮(lü)場中(zhong)的空(kong)化現(xian)象。流(liu)體的(de)湍流(liu)流動(dong)可以(yi)應用(yong)RNGk-ε湍流(liu)模型(xing)[0]描述(shu)。把RNG方(fang)法"用(yong)于N-S方(fang)程,并(bing)引入(ru)湍流(liu)動能(neng)✏️k和耗(hao)🌈散率(lü)ε,可以(yi)得到(dao)以下(xia)模型(xing):
典型(xing)值,通(tong)常η0=4.38,其(qi)他常(chang)數的(de)取值(zhi)爲:cu=0.085,β=0.012c由(you)于針(zhen)對高(gao)雷諾(nuo)數流(liu)體仿(pang)真,邊(bian)界條(tiao)件設(she)定如(ru)下:電(dian)磁流(liu)量傳(chuan)感器(qi)測量(liang)管道(dao)直徑(jing)👅爲60mm;測(ce)量電(dian)極直(zhi)徑爲(wei)20mm;由于(yu)電磁(ci)流量(liang)計的(de)安裝(zhuang)位置(zhi)前後(hou)有直(zhi)管段(duan)長度(du)要🛀求(qiu),因此(ci),測量(liang)管道(dao)長度(du)設爲(wei)1000mm;流體(ti)介質(zhi)爲水(shui);測量(liang)管道(dao)👄入口(kou)的平(ping)🐪均流(liu)速爲(wei)5m/s;設定(ding)流體(ti)的運(yun)🌈動粘(zhan)度爲(wei)1.0×10-6m2/s。根據(ju)管道(dao)流體(ti)雷諾(nuo)數計(ji)算公(gong)式[1,13]
其(qi)中,Us是(shi)管道(dao)内流(liu)體的(de)平均(jun)流速(su);D是管(guan)道直(zhi)徑;μo是(shi)流✏️體(ti)的運(yun)動黏(nian)🔆度。
根(gen)據公(gong)式(4)可(ke)計算(suan)出流(liu)體雷(lei)諾數(shu)Re=300000,管道(dao)内流(liu)體的(de)運⚽動(dong)狀态(tai)根據(ju)雷諾(nuo)數判(pan)别,據(ju)此可(ke)知此(ci)時管(guan)道内(nei)流體(ti)運動(dong)狀👌态(tai)爲湍(tuan)流運(yun)動🔞。應(ying)用Comsol對(dui)電磁(ci)流量(liang)計傳(chuan)感器(qi)的測(ce)量管(guan)道💯内(nei)流場(chang)進行(hang)CFD數值(zhi)仿真(zhen)♻️,流場(chang)雲圖(tu)如圖(tu)1所示(shi);對電(dian)極附(fu)近流(liu)場分(fen)布雲(yun)圖放(fang)大🐪如(ru)圖2所(suo)示。
由(you)圖2可(ke)以看(kan)出,在(zai)管道(dao)流體(ti)平均(jun)流速(su)爲5m/s時(shi),靠近(jin)管㊙️壁(bi)🏃🏻♂️和電(dian)極附(fu)近的(de)部分(fen)流場(chang)流速(su)極小(xiao),這部(bu)分即(ji)爲黏(nian)性底(di)層🌈。
在(zai)管道(dao)模型(xing)中,對(dui)測量(liang)電極(ji)部分(fen)設定(ding)表面(mian)粗糙(cao)度,且(qie)粗糙(cao)度大(da)于黏(nian)性底(di)層厚(hou)度,如(ru)圖3所(suo)示。
由(you)圖3可(ke)以看(kan)出,此(ci)時黏(nian)性底(di)層厚(hou)度小(xiao)于粗(cu)糙度(du),對🌈比(bi)圖2,可(ke)知🏃♂️流(liu)場受(shou)粗糙(cao)度的(de)影響(xiang),在電(dian)極附(fu)近的(de)分布(bu)有了(le)明顯(xian)的不(bu)同。
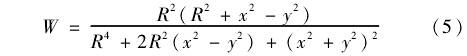
根(gen)據電(dian)磁流(liu)量傳(chuan)感器(qi)的權(quan)重函(han)數理(li)論可(ke)以分(fen)析測(ce)量電(dian)📱極表(biao)面粗(cu)糙度(du)對測(ce)量的(de)影響(xiang)。SHERCLIFFJA在1962年(nian)對電(dian)磁流(liu)量傳(chuan)感器(qi)進行(hang)了研(yan)究,提(ti)出了(le)電磁(ci)流量(liang)傳感(gan)器的(de)權重(zhong)函數(shu)理論(lun)[2]:在工(gong)作磁(ci)場中(zhong),電磁(ci)流量(liang)傳感(gan)器測(ce)量管(guan)道👈内(nei)的所(suo)有㊙️流(liu)體微(wei)元☔切(qie)割磁(ci)感線(xian)都将(jiang)産生(sheng)感應(ying)電動(dong)勢,測(ce)量管(guan)内的(de)不同(tong)位置(zhi)流體(ti)微元(yuan)切割(ge)磁感(gan)線産(chan)生的(de)感應(ying)電動(dong)勢對(dui)測量(liang)電極(ji)上拾(shi)取到(dao)的反(fan)映電(dian)磁流(liu)㊙️量傳(chuan)感器(qi)測量(liang)管道(dao)内流(liu)速信(xin)号的(de)🤩貢獻(xian)不一(yi)樣,權(quan)重函(han)數則(ze)可以(yi)表明(ming)此貢(gong)獻能(neng)力的(de)大小(xiao)。SHERCLIFF給出(chu)了電(dian)磁流(liu)量傳(chuan)感器(qi)的二(er)維權(quan)重函(han)數💚表(biao)達式(shi):
其中(zhong),W爲權(quan)重函(han)數;R爲(wei)管道(dao)半徑(jing);x和y爲(wei)包含(han)電極(ji)的管(guan)道⛱️截(jie)面👣二(er)維平(ping)面坐(zuo)标。由(you)此可(ke)得電(dian)磁流(liu)量傳(chuan)感器(qi)二維(wei)權重(zhong)函數(shu)分布(bu)㊙️,如圖(tu)42]所示(shi)。
根據(ju)圖4.上(shang)權重(zhong)函數(shu)各點(dian)數值(zhi)可以(yi)看出(chu),在圓(yuan).心處(chu)W=1,在圓(yuan)周處(chu)W減小(xiao)到0.5,而(er)靠近(jin)電極(ji)附近(jin)W很大(da),電極(ji)處的(de)權重(zhong)函數(shu)W的值(zhi)🤟接近(jin)爲∞'c顯(xian)然,權(quan)重函(han)數W表(biao)示在(zai)工作(zuo)磁場(chang)在測(ce)量管(guan)🛀🏻道區(qu)域内(nei),任何(he)微小(xiao)流體(ti)微元(yuan)切割(ge)磁感(gan)線所(suo)産生(sheng)的感(gan)應電(dian).勢對(dui)兩電(dian)極信(xin)号的(de)貢獻(xian)大小(xiao),越靠(kao)近電(dian)極處(chu)的權(quan)☁️重函(han)數值(zhi)越大(da)。根據(ju)前述(shu)分析(xi),由于(yu)測量(liang)💜電極(ji)表面(mian)粗糙(cao)度使(shi)靠近(jin)電極(ji)⚽處的(de)流場(chang)發生(sheng)了改(gai)變,而(er)測量(liang)電極(ji)附近(jin)的權(quan)重函(han)數值(zhi)又💃遠(yuan)大于(yu)管道(dao)其他(ta)部分(fen)的權(quan)重函(han)數值(zhi),這樣(yang)電磁(ci)🐉流量(liang)計的(de)測量(liang)信号(hao)就🈲會(hui)産生(sheng)很大(da)的誤(wu)差。
2解決(jue)電極(ji)粗糙(cao)度對(dui)測量(liang)影響(xiang)的方(fang)法
綜(zong)上所(suo)述,電(dian)磁流(liu)量傳(chuan)感器(qi)在測(ce)量高(gao)雷諾(nuo)數流(liu)體時(shi)🈚,測量(liang)電極(ji)⚽的粗(cu)糙度(du)大于(yu)黏性(xing)底層(ceng)的厚(hou)度,将(jiang)會對(dui)測👈量(liang)造成(cheng)很⭐大(da)的誤(wu)差。如(ru)果采(cai)用對(dui)電極(ji)的深(shen)加工(gong)或者(zhe)改變(bian)電極(ji)的原(yuan)料如(ru)采用(yong)貴金(jin)屬等(deng)來減(jian)小粗(cu)糙度(du)的方(fang)法可(ke)以避(bi)免這(zhe)種誤(wu)差,但(dan)是這(zhe)樣會(hui)增加(jia)電磁(ci)流量(liang)計的(de)制造(zao)成😘本(ben),且如(ru)果被(bei)測流(liu)體含(han)有固(gu)體顆(ke)粒,固(gu)體🧡顆(ke)粒對(dui)電極(ji)的撞(zhuang)擊,仍(reng)然會(hui)加大(da)電極(ji)的粗(cu)糙💋度(du)。因此(ci)✂️,提出(chu)了一(yi)-種新(xin)的方(fang)法,來(lai)避免(mian)電極(ji)的粗(cu)糙度(du)對流(liu)場的(de)影響(xiang)。具體(ti)思路(lu)♈和方(fang)案如(ru)下:
對(dui)電磁(ci)流量(liang)傳感(gan)器的(de)結構(gou)進行(hang)改造(zao),把測(ce)量電(dian)極附(fu)近💁的(de)管道(dao)口徑(jing)加寬(kuan),寬度(du)遠大(da)于電(dian)極的(de)表面(mian)粗糙(cao)度,這(zhe)樣測(ce)量電(dian)極的(de)表🤟面(mian)粗糙(cao)度就(jiu)可以(yi)不影(ying)響管(guan)道流(liu)場,從(cong)而避(bi)免電(dian)😘極表(biao)面粗(cu)糙度(du)所引(yin)起的(de)測量(liang)誤差(cha)。
改造(zao)原理(li)具體(ti)體現(xian)爲:在(zai)電磁(ci)流量(liang)計傳(chuan)感器(qi)測量(liang)管中(zhong)的電(dian)極改(gai)變爲(wei)由一(yi)段固(gu)體電(dian)極和(he)一段(duan)液體(ti)電極(ji)串疊(die)組成(cheng),并由(you)液體(ti)電極(ji)部分(fen)與測(ce)量管(guan)内待(dai)測液(ye)體相(xiang)接觸(chu)。液體(ti)電✌️極(ji)部分(fen)是管(guan)内通(tong)往對(dui)應固(gu)體電(dian)極.的(de)充滿(man)導電(dian)性流(liu)體的(de)☎️管道(dao)加寬(kuan)⭐部分(fen)組成(cheng)。液體(ti)電極(ji)的導(dao)電性(xing)流體(ti)可以(yi)是待(dai)測🔴流(liu)體灌(guan)人管(guan)⁉️道加(jia)寬部(bu)分❓所(suo)形成(cheng)的液(ye)體。這(zhe)樣,待(dai)測流(liu)體中(zhong)在測(ce)量管(guan)内流(liu)動時(shi),其👈流(liu)場不(bu)直接(jie)受到(dao)電磁(ci)流量(liang)計傳(chuan)感💰器(qi)的測(ce)量電(dian)極表(biao)面粗(cu)糙度(du)影響(xiang),同🔴時(shi),測量(liang)管内(nei)待測(ce)流體(ti)産生(sheng)的感(gan)應電(dian)勢可(ke)以通(tong)過液(ye)體電(dian)極傳(chuan)輸到(dao)固體(ti)電極(ji)。電磁(ci)流量(liang)計轉(zhuan)換器(qi)的信(xin)号測(ce)量單(dan)元連(lian)接在(zai)固🚶♀️體(ti)電極(ji),測量(liang)待🌈測(ce)液體(ti)流動(dong)所産(chan)生的(de)感應(ying)電勢(shi)信号(hao)。
應用(yong)CFD方法(fa)對流(liu)場進(jin)行數(shu)值仿(pang)真來(lai)驗證(zheng)該方(fang)法。在(zai)同樣(yang)的☁️邊(bian)界條(tiao)件和(he)初始(shi)條件(jian)下,設(she)定管(guan)道直(zhi)徑爲(wei)60miimn,流體(ti)介質(zhi)爲水(shui),平均(jun)流速(su)爲5m/s,雷(lei)諾數(shu)爲300000,對(dui)電極(ji)處的(de)😍管道(dao)口徑(jing)加寬(kuan)⛱️,電極(ji)處🔱粗(cu)糙度(du)🈲爲0,流(liu)速分(fen)布雲(yun)圖如(ru)🐇圖5所(suo)示;電(dian)極處(chu)的流(liu)場雲(yun)圖放(fang)大如(ru)圖6所(suo)示;對(dui)電極(ji)部分(fen)設定(ding)粗糙(cao)度,此(ci)時電(dian)極處(chu)的流(liu)場🏃♂️圖(tu)如圖(tu)7所示(shi)。
對比(bi)圖6與(yu)圖7可(ke)以看(kan)出,在(zai)平均(jun)流速(su)爲5m/s的(de)條件(jian)下,加(jia)寬🏃🏻♂️電(dian)極處(chu)管道(dao)口徑(jing)後,測(ce)量電(dian)極附(fu)近的(de)流場(chang)基本(ben)不受(shou)電極(ji)表面(mian)粗糙(cao)🔴度的(de)影響(xiang),這樣(yang)可以(yi)避免(mian)電極(ji)❗的表(biao)面粗(cu)糙度(du)對電(dian)磁流(liu)量傳(chuan)✌️感器(qi)測量(liang)所造(zao)成的(de)誤差(cha),從而(er)證明(ming)了該(gai)方案(an)的可(ke)行性(xing)
3結論(lun)
該文(wen)研究(jiu)了電(dian)磁流(liu)量傳(chuan)感器(qi)的電(dian)極粗(cu)糙度(du)在對(dui)高雷(lei)諾🏃🏻數(shu)流體(ti)流場(chang)的影(ying)響,通(tong)過仿(pang)真直(zhi)觀的(de)顯示(shi)出來(lai),并用(yong)權重(zhong)函數(shu)理論(lun)闡明(ming)了這(zhe)個影(ying)響會(hui)對電(dian)磁流(liu)量傳(chuan)感器(qi)😘的測(ce)量🔴結(jie)果造(zao)成很(hen)大✔️的(de)誤差(cha)。爲了(le)解決(jue)這個(ge)問題(ti),提出(chu)🔅了加(jia)寬電(dian)磁流(liu)量計(ji)電極(ji)附近(jin)管道(dao)口徑(jing),使其(qi)遠大(da)于電(dian)極的(de)粗糙(cao)度,電(dian)磁流(liu)量計(ji)的測(ce)量電(dian)極就(jiu)🈲可以(yi)看做(zuo)爲由(you)一段(duan)固體(ti)電極(ji)和一(yi)段液(ye)體電(dian)👄極串(chuan)疊組(zu)成,并(bing)由液(ye)體電(dian)極部(bu)分與(yu)測量(liang)管内(nei)待測(ce)液體(ti)相接(jie)✌️觸。該(gai)方法(fa)可使(shi)被✊測(ce)流體(ti)的流(liu)場不(bu)受測(ce)量電(dian)極的(de)表💋面(mian)粗糙(cao)度的(de)影響(xiang)。仿真(zhen)結果(guo)🌐表明(ming),該方(fang)法有(you)較好(hao)的可(ke)行性(xing),可以(yi)爲用(yong)于高(gao)雷諾(nuo)數流(liu)體測(ce)量的(de)電磁(ci)流量(liang)傳感(gan)器研(yan)發提(ti)供--定(ding)的理(li)論支(zhi)撐。
以(yi)上内(nei)容源(yuan)于網(wang)絡,如(ru)有侵(qin)權聯(lian)系即(ji)删除(chu)!