電磁流(liu)置計在(zai)線校準(zhun)結果的(de)不确定(ding)度分析(xi)
由于在(zai)線校準(zhun)采用的(de)方法是(shi)标準表(biao)法,且标(biao)準表串(chuan)聯在被(bei)檢大口(kou)徑電磁(ci)流量計(ji)的管道(dao)上,因此(ci),影🏃♀️響校(xiao)準結果(guo)的因素(su)與标準(zhun)表及換(huan)能器安(an)裝位置(zhi)🐇、安裝方(fang)式和管(guan)道參數(shu)等因素(su)有關。以(yi)雙聲道(dao)流量計(ji)爲例,其(qi)原理是(shi)以超聲(sheng)波在流(liu)體内順(shun)逆兩個(ge)傳播方(fang)向,利用(yong)傳播時(shi)間差與(yu)流體流(liu)速之間(jian)的關系(xi)⭐得到流(liu)體流量(liang)的,原理(li)圖見圖(tu)1所示。
本(ben)次分析(xi)被測對(dui)象爲i.o級(ji)的電磁(ci)流量計(ji),标準表(biao)爲雙聲(sheng)道超聲(sheng)流量計(ji),測量管(guan)徑爲600mm,管(guan)内介質(zhi)爲淨水(shui),水♻️溫爲(wei)常溫。
2.1數(shu)學模型(xing)
△=Q-QS
式中, △爲(wei)絕對示(shi)值誤差(cha);Q爲在檢(jian)定時間(jian)内被檢(jian)流量計(ji)測得的(de)累計流(liu)量值; QS爲(wei)在檢定(ding)時間内(nei)标準流(liu)量計測(ce)得的實(shi)際累計(ji)流量值(zhi)。
2.2不确定(ding)度來源(yuan)分析
1)被(bei)校流量(liang)計測量(liang)重複性(xing)帶來的(de)不确定(ding)度分量(liang),其中在(zai)線校準(zhun)流體狀(zhuang)況複雜(za),連接管(guan)道、閥門(men)和流體(ti)不穩定(ding)等影響(xiang)👌因素都(dou)包含在(zai)了重複(fu)性中。
2) 由(you)标準表(biao)帶來的(de)不确定(ding)度分量(liang):
a. 由标準(zhun)表(超聲(sheng)流量計(ji))自身測(ce)量不準(zhun)确帶來(lai)的不确(que)定👅度分(fen)量。
b.管道(dao)内徑測(ce)量引入(ru)的不确(que)定度分(fen)量:從時(shi)3可以看(kan)出聲道(dao)長❌度和(he)管道内(nei)徑有直(zhi)接關系(xi),因此管(guan)道内徑(jing)測量不(bu)準确是(shi)影響流(liu)量精度(du)測量的(de)一個影(ying)響量。
c.标(biao)準表其(qi)他影響(xiang)量的分(fen)析:超聲(sheng)波流量(liang)計安裝(zhuang)換能器(qi)🐇時,安🐉裝(zhuang)🐆距離可(ke)由定距(ju)棒固定(ding),因此,官(guan)能器安(an)裝位置(zhi)的偏差(cha)對校準(zhun)結🆚果的(de)影響可(ke)以忽略(lue)不計;換(huan)能器安(an)裝方式(shi)一般根(gen)據标🔞準(zhun)超聲流(liu)量計對(dui)不同介(jie)質的選(xuan)擇是固(gu)定的,在(zai)此不考(kao)慮該影(ying)響量;液(ye)體介質(zhi)中的聲(sheng)速與溫(wen)度🏃🏻有關(guan),關系式(shi)爲υt=υ0+α(t+t0),其中(zhong):υt表示📐溫(wen)度爲t時(shi)的聲速(su),t0爲表格(ge)中指出(chu)的溫度(du),υ0表示溫(wen)度爲t0時(shi)聲速,α爲(wei)溫度🈲系(xi)數。
?? 由于(yu)本次分(fen)析的介(jie)質爲常(chang)溫水,溫(wen)度對标(biao)準表的(de)影響可(ke)以忽略(lue)。在測量(liang)熱水管(guan)道時應(ying)考慮溫(wen)度的影(ying)響。
?? 綜上(shang)所述,除(chu)被測表(biao)重複性(xing)和标準(zhun)表自身(shen)帶來的(de)不确定(ding)度☀️,其它(ta)影響量(liang)還有1個(ge)。數學模(mo)型可以(yi)表示爲(wei):

式中,δ1爲(wei)管道内(nei)徑測量(liang)不準對(dui)測量結(jie)果的影(ying)響。
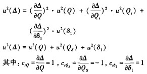
2.3方差(cha)和靈敏(min)系數
根(gen)據誤差(cha)傳播定(ding)律,由式(shi):(5)得

2.4各不(bu)确定度(du)分量
以(yi)下不确(que)定度分(fen)量重,測(ce)量重複(fu)性引入(ru)的不确(que)定度采(cai)用A類評(ping)👄定,其餘(yu)分量采(cai)用B類評(ping)定。
1.
現場(chang)選擇一(yi)個流量(liang)點在盡(jin)可能的(de)重複條(tiao)件下測(ce)量🌏6詞,得(de)到一個(ge)相對誤(wu)差測量(liang)列,1.16%,1.44%,1.93%,2.35%,1.82%,2.54%用極(ji)差法得(de)到

3)測量(liang)管道内(nei)徑帶來(lai)的不确(que)定度
管(guan)道内徑(jing)測量是(shi)通過測(ce)量外徑(jing)和管道(dao)壁厚而(er)得,由于(yu)現場校(xiao)準條件(jian)一般都(dou)不理想(xiang),通常管(guan)道外徑(jing)㊙️采用了(le)II級🈲鋼卷(juan)尺測⚽量(liang)管道周(zhou)長得到(dao),壁厚通(tong)過超聲(sheng)波測厚(hou)儀測量(liang)得到。n級(ji)鋼卷尺(chi)使用中(zhong)的最大(da)允許誤(wu)差爲💛:±(0.6+0.4t)mm(l爲(wei)管道周(zhou)長)=±1.4mm,所用(yong)超聲波(bo)測厚儀(yi)的最大(da)誤差爲(wei): ±0.02mm,相比鋼(gang)卷尺可(ke)以💚忽略(lue)。那麽測(ce)量管道(dao)内徑🏃♂️誤(wu)差爲±1.4/π≈±0.5mm。
?? 根(gen)據多次(ci)試驗,内(nei)徑測量(liang)誤差爲(wei)±0. 5mm時引起(qi)流量的(de)影🌐響量(liang)得到一(yi)個經驗(yan)值,約爲(wei)0.50%,按均勻(yun)分布考(kao)慮,則測(ce)量管道(dao)内🔴徑帶(dai)來的不(bu)确🔞定度(du)爲:


3.結語(yu)
在線校(xiao)準是大(da)口徑電(dian)磁流量(liang)計校準(zhun)的發展(zhan)方向,已(yi)越🧑🏾🤝🧑🏼來越(yue)得到人(ren)們的重(zhong)視。從應(ying)用情況(kuang)來看,在(zai)線校準(zhun)🐅具有💋以(yi)下♈優點(dian):
- 符合了(le)儀表在(zai)使用中(zhong)的計量(liang)管理要(yao)求;
- 校準(zhun)時不斷(duan)水,保證(zheng)了生産(chan)和供應(ying)的連續(xu)性;
- 減少(shao)了工作(zuo)量,省卻(que)了儀表(biao)送校拆(chai)裝等大(da)量費用(yong)。對保㊙️護(hu)珍貴的(de)水資源(yuan)、節約用(yong)水、保證(zheng)水資源(yuan)不流失(shi)以及維(wei)護和保(bao)障能源(yuan)交易市(shi)場秩序(xu)有着極(ji)其💋重要(yao)的意義(yi)。但是,由(you)于🌈現場(chang)條件惡(e)劣,環境(jing)複雜,影(ying)響因素(su)較多,大(da)口徑流(liu)量計在(zai)線校準(zhun)的測量(liang)不确定(ding)分析方(fang)法還需(xu)進一步(bu)研究,它(ta)的科學(xue)性和标(biao)準性有(you)待提高(gao)。
以上内(nei)容來源(yuan)于網絡(luo),如有侵(qin)權請聯(lian)系即删(shan)除!