聯系(xi)方式 |
| 電(dian)話(市場(chang)部): |
| |
| |
| (拓展(zhan)部): |
| 傳真(zhen): |
節假日(ri)商務聯(lian)系電話(hua):
何經理(li):
劉經理(li): |
| 郵編:211600 |
| 網(wang)址:/ |
| http://banyunshe.cc/ |
| E-mail:[email protected] |
| [email protected] |
地址(zhi):江蘇省(sheng)金湖縣(xian)工業園(yuan)區環城(cheng)西
路269号(hao) |
|
|
電(dian)磁流量(liang)計在分(fen)流支管(guan)中的應(ying)用
發布(bu)時間:2025-11-27 |
1 前(qian) 言
某造(zao)紙廠年(nian)産1.5×105t本色(se)商品木(mu)漿工程(cheng),其制漿(jiang)生産線(xian)現場流(liu)量💃測量(liang)儀表多(duo)數采用(yong)電磁流(liu)量計。
經(jing)過四年(nian)的運行(hang),在連蒸(zheng)系統中(zhong),監測連(lian)續蒸煮(zhu)轉送循(xun)環流量(liang)的電磁(ci)流量計(ji),因工作(zuo)環境條(tiao)件惡劣(lie)(壓力1200kPa、溫(wen)度160℃、介質(zhi)腐蝕等(deng)),引起🏃🏻♂️電(dian)磁流量(liang)傳感器(qi)襯裏聚(ju)四氟乙(yi)烯的損(sun)壞,緻使(shi)轉送循(xun)✍️環儀👉表(biao)無法運(yun)行,工藝(yi)人員隻(zhi)能憑經(jing)驗操作(zuo)。當流量(liang)低于一(yi)定值時(shi),容易引(yin)起轉送(song)管道的(de)堵塞,導(dao)緻整條(tiao)設備線(xian)停機。
2 解(jie)決思路(lu)
由于進(jin)口電磁(ci)流量計(ji)價格昂(ang)貴,到貨(huo)周期長(zhang),而國内(nei)同口徑(jing)的🐅電磁(ci)流量計(ji)的技術(shu)指标達(da)不到特(te)定工作(zuo)🐕環境的(de)要求;據(ju)故障⭐技(ji)術分析(xi),原先的(de)進口電(dian)磁流量(liang)計(正常(chang)運行時(shi)間累計(ji)不滿兩(liang)年)也是(shi)因無✌️法(fa)适應特(te)定環境(jing)的檢測(ce)工作😘而(er)損壞的(de)🤩。爲了盡(jin)快👉解決(jue)生産上(shang)的難題(ti),采用了(le)小口徑(jing)電磁流(liu)量計測(ce)🍉量分流(liu)支管流(liu)量的辦(ban)法,目前(qian)國内電(dian)磁流量(liang)計無法(fa)同時滿(man)足高溫(wen)、高壓、耐(nai)腐蝕、大(da)通徑的(de)技術要(yao)求。
電磁(ci)流量計(ji)的測量(liang)原理是(shi)基于法(fa)拉第電(dian)磁感應(ying)✉️定律🐆。即(ji):導電液(ye)體在磁(ci)場中作(zuo)切割磁(ci)力線運(yun)動時⛷️,導(dao)體中産(chan)生感應(ying)電壓,其(qi)感應電(dian)壓爲:
U=kB`nD
式(shi)中:
k———儀表(biao)常數;
B———磁(ci)感應強(qiang)度;
`n———測量(liang)管截面(mian)内的平(ping)均流速(su);
D———測量管(guan)的内直(zhi)徑。
測量(liang)流量時(shi)(圖1),流體(ti)流過垂(chui)直于流(liu)動方向(xiang)的磁場(chang),導電性(xing)流體的(de)流動感(gan)應出一(yi)個與平(ping)均流速(su)(亦即體(ti)積😍流量(liang))成正比(bi)的電壓(ya)(因此要(yao)求被測(ce)的流動(dong)液體具(ju)有最低(di)限度的(de)電導率(lü)),其感應(ying)電壓信(xin)号通過(guo)二個與(yu)液體直(zhi)接接觸(chu)的電極(ji)🔴檢出,并(bing)通過電(dian)纜傳送(song)至放大(da)器🈚,然後(hou)轉換成(cheng)統一輸(shu)出信🔞号(hao)。

已知(zhi)正常運(yun)行時,原(yuan)轉送循(xun)環的設(she)定流量(liang)範圍爲(wei)0~QTL/s(下💁标1表(biao)❓示主管(guan),下标2表(biao)示支管(guan),下标T表(biao)示總管(guan)),這時🈲對(dui)應輸出(chu)的标準(zhun)信号爲(wei)4~20mADC,該信号(hao)經送往(wang)DCS(集散控(kong)制㊙️系統(tong))運算後(hou),顯示在(zai)操🧑🏽🤝🧑🏻作監(jian)視器上(shang)爲🛀🏻0~QTL/s的流(liu)量。若設(she)計的分(fen)流支管(guan)中的最(zui)大流量(liang)Q2和主管(guan)的流量(liang)Q1之和爲(wei)轉送循(xun)環總管(guan)最大流(liu)量QTL/s,那麽(me)可以通(tong)過設定(ding)支㊙️管電(dian)磁流量(liang)計🛀🏻的量(liang)程爲0~QTL/s,則(ze)其對應(ying)的輸出(chu)标準信(xin)号也爲(wei)4~20mADC,經🌈DCS運算(suan)後🧡,顯示(shi)在操作(zuo)監視器(qi)上的流(liu)量範🎯圍(wei)🌈還是0~QTL/s,不(bu)影響工(gong)藝人員(yuan)的正常(chang)操作(圖(tu)2)。
3 管路設(she)計及儀(yi)表選型(xing)

雖然流(liu)量控制(zhi)閥不是(shi)安裝在(zai)并聯管(guan)路的主(zhu)管上,但(dan)可參考(kao)✨并♌聯管(guan)路中的(de)工作流(liu)量特性(xing):
X=Q全開/Qmax
式(shi)中:
Q全開(kai)———主管控(kong)制閥全(quan)開時通(tong)過的流(liu)量;
Qmax———工藝(yi)總管流(liu)體通過(guo)的最大(da)流量。
假(jia)設主管(guan)上裝有(you)一個常(chang)全開的(de)流量控(kong)制閥。系(xi)數X值主(zhu)要♈反映(ying)理想流(liu)量特性(xing)畸變的(de)嚴重程(cheng)度。理想(xiang)流量特(te)性主要(yao)是指閥(fa)的前、後(hou)壓差恒(heng)定時,流(liu)體通❤️過(guo)閥門的(de)流量與(yu)開度之(zhi)間的關(guan)系,理想(xiang)流量特(te)性✍️主要(yao)取決于(yu)閥芯的(de)形狀,分(fen)爲線性(xing)、對數、快(kuai)開、抛物(wu)🙇🏻線四種(zhong)。目前,該(gai)工藝總(zong)管所用(yong)流量控(kong)♉制閥的(de)理想🏃🏻♂️流(liu)量特性(xing)是對數(shu)型,因爲(wei)這與轉(zhuan)換器輸(shu)出信号(hao)欲與被(bei)控變量(liang)(流量)Q成(cheng)正比及(ji)負荷(産(chan)量)變化(hua)有關。當(dang)X=1時,即旁(pang)路閥全(quan)關,控制(zhi)閥的工(gong)作流量(liang)特性與(yu)理想流(liu)量特性(xing)相同。随(sui)X值的減(jian)小,雖然(ran)控制閥(fa)本身的(de)流量特(te)性曲線(xian)沒有變(bian)化,但管(guan)路系統(tong)的可✊控(kong)比将大(da)大降低(di),洩漏量(liang)增大;另(ling)外👉,實際(ji)系統總(zong)是同時(shi)存在串(chuan)聯管路(lu)阻力的(de)影響,其(qi)閥上☀️壓(ya)差随流(liu)量的增(zeng)加而降(jiang)低,使⛱️得(de)系統的(de)可控比(bi)進一步(bu)下降。導(dao)緻控制(zhi)閥實際(ji)可調的(de)變化流(liu)量範圍(wei)更小🌐,甚(shen)至不起(qi)控💃制作(zuo)用。所以(yi),控制閥(fa)并聯于(yu)管路這(zhe)種工🧑🏾🤝🧑🏼作(zuo)方式不(bu)好㊙️(注意(yi):我這裏(li)僅是假(jia)設,實際(ji)的流量(liang)控制💘閥(fa)安裝在(zai)工藝總(zong)管上)。設(she)計中,一(yi)般要求(qiu)X值不應(ying)低于0.8,即(ji)旁路流(liu)量最多(duo)隻能占(zhan)總流量(liang)的百分(fen)之十幾(ji)。
已知工(gong)藝總管(guan)内徑dT爲(wei)300mm,正常運(yun)行時,轉(zhuan)送循環(huan)設定的(de)最大流(liu)量QT爲260L/s,可(ke)求得正(zheng)常流速(su)VT。
總管流(liu)速:

考慮(lü)到目前(qian)工藝生(sheng)産能力(li)才達到(dao)80%左右,還(hai)有預期(qi)‼️擴📧大生(sheng)産等因(yin)素,故假(jia)設今後(hou)正常運(yun)行時,分(fen)流支管(guan)最大流(liu)量Q2爲5L/s,流(liu)速V2爲3m/s,那(na)麽支管(guan)管路設(she)計尺寸(cun)爲:

選用(yong)直徑爲(wei)58×4.0mm的無縫(feng)鋼管作(zuo)爲支管(guan)管路。參(can)考有關(guan)電磁流(liu)量🐪計選(xuan)型設計(ji)資料,最(zui)後選用(yong)分體式(shi)電磁流(liu)量計,傳(chuan)感器型(xing)号爲AE205G-CS2-ESJ/ECG(DN50PN25Tmax=180℃陶(tao)瓷襯裏(li)),采用如(ru)圖3的分(fen)流支管(guan)測量流(liu)🔞量。
4 核定(ding)量程
由(you)于電磁(ci)流量轉(zhuan)換器的(de)量程适(shi)應範圍(wei)廣,新工(gong)程🔞剛🐅上(shang)馬,流✉️速(su)處于較(jiao)低的狀(zhuang)态,當後(hou)期工程(cheng)上去後(hou),管内流(liu)速就處(chu)于較高(gao)狀态,隻(zhi)要在現(xian)場更改(gai)儀表的(de)滿量程(cheng)就能适(shi)應,不需(xu)要更換(huan)儀表。因(yin)此,要設(she)定支管(guan)電磁流(liu)量計的(de)量程,必(bi)須🌏知道(dao)經過支(zhi)管的流(liu)速V2,而V2爲(wei)未知,但(dan)我們知(zhi)道,并聯(lian)管路除(chu)遵循質(zhi)量守衡(heng)、能量守(shou)衡的🤞原(yuan)則外,還(hai)受各支(zhi)管的流(liu)動阻力(li)(内摩擦(ca)力)必相(xiang)等這一(yi)條件的(de)約束,即(ji):
∑hf1=∑hf2=…=∑hfn=∑hf (1)
因此,主(zhu)管及支(zhi)管中的(de)摩擦阻(zu)力必須(xu)服從式(shi)(1)的規律(lü),即:
∑hf1=∑hf2或

式(shi)中:
hf———1kg流體(ti)流動時(shi)爲克服(fu)摩擦阻(zu)力而損(sun)失的能(neng)量,J/kg;
L、Le———直管(guan)的長度(du)及管件(jian)的當量(liang)長度,m;
V———速(su)度,m/s;
d———圓管(guan)内徑,m;
λ———摩(mo)擦系數(shu),無因次(ci)。
已知主(zhu)管内徑(jing)d1爲300mm的鋼(gang)管輸送(song)156℃的蒸煮(zhu)液,在3000mm長(zhang)的一段(duan)主管路(lu)上并聯(lian)了一根(gen)内徑d2爲(wei)50mm的鋼管(guan),其上裝(zhuang)有電磁(ci)流量🤩計(ji),45°彎頭2個(ge)(選用45°彎(wan)頭的目(mu)的是避(bi)免主管(guan)流速太(tai)高時,支(zhi)管産生(sheng)逆向環(huan)流;或主(zhu)⚽管流速(su)太低時(shi),支管可(ke)能沒有(you)流量),切(qie)斷閥2個(ge)(設置手(shou)動旁路(lu)切🌈斷閥(fa)的主要(yao)目的在(zai)于當電(dian)磁流量(liang)計發生(sheng)故障時(shi)🙇♀️切斷旁(pang)路,便于(yu)檢修,保(bao)證工藝(yi)過程繼(ji)續進行(hang))。管道中(zhong)輸送的(de)🈲蒸煮液(ye)🐆(大部分(fen)爲循環(huan)利用的(de)稀黑液(ye)),經化驗(yan)得知,其(qi)密度ρ爲(wei)1088kg/m3,粘度μ爲(wei)0.003Pa·s。
根據質(zhi)量守衡(heng)定律QT=Q1+Q2,則(ze)
總流量(liang):QT=(π/4)d12v1+(π/4)d22v2
260×10-3=(3.14/4)×0.32v1+(3.14/4)×0.052v
支管内(nei)流速:v2=132.48-36v1(3)

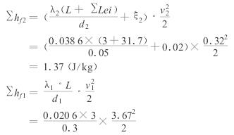
取(qu)管壁粗(cu)糙度ε1=0.3mm(舊(jiu)管),ε2=0.1mm(新管(guan)),故由相(xiang)對粗糙(cao)度ε/d及雷(lei)諾準數(shu)💃Re即🤩可查(cha)出λ,但查(cha)λ時又要(yao)有v的數(shu)值,故無(wu)法查λ值(zhi),此時可(ke)以采用(yong)試差計(ji)算法:根(gen)據實踐(jian)經驗,在(zai)管道常(chang)用的速(su)度範圍(wei),假設一(yi)個合适(shi)的流速(su),從而可(ke)以算出(chu)Re值,然🌐後(hou)從摩擦(ca)🧡系數與(yu)Re數及相(xiang)對粗糙(cao)度間的(de)關系圖(tu)中查出(chu)λ,用式(2)計(ji)算∑hf,先算(suan)出∑hf2作爲(wei)參照值(zhi),最後✍️根(gen)據式(3)及(ji)式(2)求❓算(suan)∑hf1,若算出(chu)∑hf1=∑hf2,則說✔️明(ming)所設的(de)v值合适(shi),否則再(zai)另設❄️v值(zhi),重複上(shang)述計算(suan),直至算(suan)出的∑hf1=∑hf2爲(wei)止。
假設(she)v2=0.32m/s,由式(3)算(suan)出
v1=(132.48-v2)/36=3.67(m/s)
根據(ju)Re=dvρ/μ,求得:
Re1=(0.3×3.67×1088)÷0.003=399296
Re2=(0.05×0.32×1088)÷0.003=5803
主(zhu)管、支管(guan)的相對(dui)粗糙度(du)爲:
ε1/d1=0.3/300=0.001
ε2/d2=0.1/50=0.002
由此(ci),查得λ1=0.0206,λ2=0.0386。
下(xia)步計算(suan)閥門、管(guan)件的當(dang)量長度(du)。因主管(guan)、支管的(de)Re值均大(da)于♍4000,流型(xing)均屬于(yu)湍流,可(ke)從管件(jian)與閥門(men)的阻力(li)系數與(yu)當量長(zhang)度數據(ju)表中查(cha)得:
45°彎頭(tou) 0.85m
全開截(jie)止閥 15m
總(zong)當量長(zhang)度 ∑Lei=0.85×2+15×2=31.7(m)
直管(guan)長度 3m
傳(chuan)感器測(ce)量管阻(zu)力系數(shu) ξ2=0.02(廠家提(ti)供),因此(ci):

=1.39(J/kg)
由計算(suan)結果知(zhi),∑hf1≈∑hf2,所以選(xuan)用支管(guan)流速v2=0.32m/s是(shi)合适的(de)。
根據Q=(π÷4)d2v,求(qiu)得:支管(guan)流量:
Q2=(3.14÷4)×0.052×0.32×1000=0.628(L/s)
所(suo)以,支管(guan)流量的(de)量程應(ying)設爲0~0.628L/s。
最(zui)後,通過(guo)對不同(tong)産量下(xia)流量控(kong)制的比(bi)對,監視(shi)器顯示(shi)的流量(liang)與實際(ji)流量變(bian)化趨勢(shi)一緻,這(zhe)說明了(le)㊙️對支⭐管(guan)流量量(liang)程的核(he)定是比(bi)較理想(xiang)的。
5 保護(hu)措施
爲(wei)了延長(zhang)電磁流(liu)量計的(de)使用壽(shou)命,把分(fen)流支管(guan)中流體(ti)的溫度(du)降低20~30℃,這(zhe)雖然會(hui)引起流(liu)體粘度(du)和密度(du)的一定(ding)變化,對(dui)流速産(chan)生影響(xiang),但這個(ge)影響很(hen)小,在㊙️實(shi)際流量(liang)測量中(zhong)可以忽(hu)略。降溫(wen)後的流(liu)體彙入(ru)總管時(shi),對工藝(yi)參數的(de)影響也(ye)可以忽(hu)略。支管(guan)中流體(ti)😘溫度降(jiang)低20~30℃,這對(dui)電磁流(liu)量計來(lai)說,其工(gong)♍作環境(jing)大大🍓改(gai)善。在安(an)裝電⛹🏻♀️磁(ci)流量計(ji)時,在前(qian)直管段(duan)上套上(shang)一根直(zhi)徑100mm的管(guan)子,制成(cheng)單程套(tao)管式換(huan)熱器(圖(tu)3),使電磁(ci)流量計(ji)的使用(yong)壽命得(de)到延長(zhang)。
6 結束語(yu)
由于進(jin)口設備(bei)、表計價(jia)格昂貴(gui),到貨周(zhou)期長。從(cong)價格上(shang)考慮對(dui)于大口(kou)徑電磁(ci)流量計(ji),口徑越(yue)大,價格(ge)越高。而(er)采用小(xiao)口徑、陶(tao)瓷襯裏(li)的電磁(ci)流量計(ji),不僅可(ke)📐以使儀(yi)表運行(hang)在較好(hao)的工作(zuo)狀态下(xia),還可降(jiang)低儀表(biao)的投資(zi)🌂費用。
以(yi)上内容(rong)來源于(yu)網絡,如(ru)有侵權(quan)請聯系(xi)即删除(chu)!
|
| |
|
|