差壓式流(liu)量計小流(liu)量在線非(fei)線性補償(chang)方案 發布(bu)時間:2025-11-27
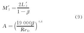
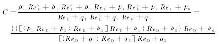
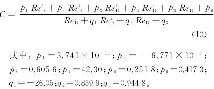
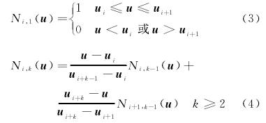
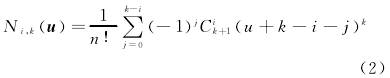
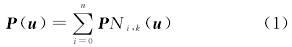
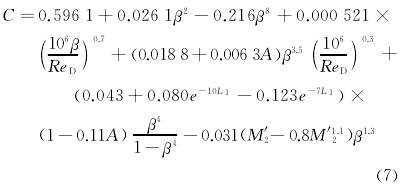
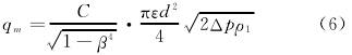
摘要(yao):小流量測(ce)量時,差壓(ya)式流量計(ji) 輸出的差(cha)壓與流量(liang)之間是非(fei)線性關系(xi),在分散控(kong)制系統😍(DCS)中(zhong)直接實施(shi)該非線性(xing)關系較困(kun)難。根據已(yi)知标準孔(kong)🍓闆的徑比(bi),用NURBS非均勻(yun)有理函數(shu),拟合在特(te)定應用條(tiao)件下的标(biao)準孔闆流(liu)量系數公(gong)式;并用簡(jian)😍單的乘法(fa)🥰和加法運(yun)算,在DCS中用(yong)NURBS函數表示(shi)該非線性(xing)關系的輸(shu)入和輸出(chu)關系;最後(hou)用非線性(xing)叠代算法(fa)确定在小(xiao)流🍓量條件(jian)下的差壓(ya)和流量關(guan)系,從而實(shi)現小流量(liang)測量的在(zai)線非線性(xing)補償,提高(gao)了流量測(ce)量👈的精度(du)。 差壓式流(liu)量計是常(chang)用的流量(liang)測量儀表(biao)。 标準孔闆(pan) 的流量系(xi)數經Reader-Harris/Gallagher修改(gai),于1998年被采(cai)納作爲标(biao)準孔闆流(liu)出系數🔞的(de)計算公式(shi)。它對小流(liu)量時差壓(ya)式流量計(ji)的補償提(ti)㊙️供了理論(lun)基礎,但在(zai)分散控制(zhi)系統(DCS)中實(shi)現有困難(nan),爲此,提出(chu)兩種實施(shi)方法:直🈲接(jie)用Reader-Harris/Gallagher公式,但(dan)在DCS上Reader-Harris/Gallagher公式(shi)☁️實施困難(nan);針對特定(ding)标準孔闆(pan),用NURBS函數拟(ni)合标準孔(kong)闆流出系(xi)數的Reader-Harris/Gallagher計算(suan)公式,并在(zai)DCS中實現。該(gai)方法既解(jie)決了小流(liu)量在線補(bu)償的實施(shi)問題,也提(ti)高了差壓(ya)式流量計(ji)的測量範(fan)圍度和精(jing)度。 1NURBS樣條函(han)數 1.1B樣條基(ji)函數 B樣條(tiao)基樣條(basicspline)。1946年(nian)由舍恩貝(bei)格(Schoenberg)提出,并(bing)在1972年由德(de)布爾♉和考(kao)克斯✔️(deboor-Cox)分别(bie)獨立給出(chu)B樣條計算(suan)的标準算(suan)法[1-2]。理論上(shang)常采用截(jie)尾幂函數(shu)📐的差商定(ding)義B樣條曲(qu)線,實🍉際應(ying)用則常采(cai)用B樣條的(de)遞推定義(yi)。 B樣條曲線(xian)采用控制(zhi)頂點定義(yi)曲線[1-2]。曲線(xian)方程可描(miao)述🚶爲 式中(zhong):Pi———控制多邊(bian)形的頂點(dian),i=0,1,…,n;Ni,k(u)———k次(k-1次)B樣條(tiao)基函數,i=0,1,…,n。 其(qi)中,每個k次(ci)規範B樣條(tiao)基函數稱(cheng)爲規範B樣(yang)條,或簡稱(cheng)B樣🐆條。由于(yu)它由非遞(di)減節點矢(shi)量u的序列(lie)T:u0≤u1≤…≤un+k所決定的(de)k次分段多(duo)項😄式,因而(er),稱爲k-1次多(duo)項式樣條(tiao)。 根據德布(bu)爾-考克斯(si)的遞推公(gong)式,曲線方(fang)程可寫爲(wei) 式中:i,k———下标(biao),i表示序号(hao),k表示次數(shu)。 1.2三次非均(jun)勻有理B樣(yang)條函數 三(san)次非均勻(yun)有理B樣條(tiao)函數描述(shu)爲 式中:wi———權(quan)因子,分别(bie)與控制頂(ding)點Pi相聯系(xi),(i=0,1,…,n);Ni,k(u)———節點矢量(liang),u=[u0,u1,…,un+k+1]按遞推公(gong)式确定的(de)k次規範B樣(yang)條基函數(shu);P1,P2,P3,P4———分子系數(shu),爲矢量;Q0,Q1,Q2,Q3———分(fen)母系數。B樣(yang)條基函數(shu)的遞推公(gong)式見式(3)~式(shi)(4)。 在數控技(ji)術中,NURBS曲線(xian)插補算法(fa)将定義NURBS曲(qu)線的控制(zhi)頂點、權因(yin)子、節點矢(shi)量和進給(gei)速度等作(zuo)爲NC程序指(zhi)令,在CNC系統(tong)生成NURBS曲線(xian),驅動機床(chuang)運動,加工(gong)出NURBS曲線的(de)形狀,這就(jiu)是NURBS曲線插(cha)補。在非線(xian)性補償環(huan)節中應用(yong)⭕的NURBS曲線,可(ke)💔根據應用(yong)要求選用(yong)📧不同的階(jie)次。 2差壓式(shi)流量計在(zai)非線性補(bu)償中的應(ying)用 2.1差壓式(shi)流量計的(de)問題 差壓(ya)式流量計(ji)是應用久(jiu)遠的流量(liang)計之一,其(qi)測量原理(li)是 孔闆流(liu)量計 上遊(you)側與下遊(you)側之間産(chan)生的靜壓(ya)差與流過(guo)該裝置的(de)流體✌️流量(liang)之間存在(zai)下列關系(xi): 當滿足0.2≤β≤0.6時(shi),流出系數(shu)C的不确定(ding)度爲0.5%。其他(ta)條件下,不(bu)确定度會(hui)有所增加(jia)。其中,C經Reader-Harris/Gallagher修(xiu)改,可表示(shi)爲 當工藝(yi)管道的管(guan)道内徑D<71.12mm時(shi),增加下列(lie)項: 式中:β———節(jie)流孔直徑(jing)d與D之比,即(ji)β=d/D;ReD———根據D和流(liu)體流量等(deng)數✉️據計算(suan)出🌈的雷諾(nuo)數;L1———孔闆上(shang)遊端面到(dao)上遊取壓(ya)口🈲的距離(li)l1除以D得出(chu)的💞商。 式中(zhong):L′2———孔闆下遊(you)端面到下(xia)遊取壓口(kou)的距離L′2除(chu)以D得出的(de)商。對不同(tong)取壓方式(shi),L1和L′2的值不(bu)同 根據Reader-Harris/Gallagher公(gong)式,可畫出(chu)不同管道(dao)直徑和不(bu)同取壓方(fang)式下,C與ReD,β之(zhi)🐆間的關系(xi)曲面。角接(jie)取壓,D=150mm時,C與(yu)ReD,β的關系如(ru)圖1所示。 從(cong)圖1可見,當(dang)D确定後,如(ru)果d也确定(ding),則當流體(ti)的ReD大于某(mou)限值時📞,其(qi)♋C可基本穩(wen)定在某個(ge)規定的值(zhi)。通常在❌0.60~0.61,而(er)測♻️量不确(que)定度應滿(man)足小于0.5%。 角(jiao)接取壓,D大(da)于72.12mm時,β在0.4~0.5,C與(yu)ReD的關系見(jian)表1所列。根(gen)據表1中數(shu)據的分析(xi),可以發現(xian),當最大流(liu)量與最小(xiao)流量之比(bi)爲10∶1時,即小(xiao)流量時,其(qi)C的誤差可(ke)達2%。但如果(guo)最小雷諾(nuo)數大于2×104,則(ze)C的誤差就(jiu)可小于0.5%。該(gai)條件☀️是采(cai)用差壓式(shi)流量計有(you)最小雷諾(nuo)數限制的(de)原因。由于(yu)受到流體(ti)流速的限(xian)制,最大流(liu)量不能設(she)置很大。又(you)由于小流(liu)量時,ReD成比(bi)例縮小,在(zai)C的非線性(xing)影響下造(zao)成👣流量測(ce)量的精度(du)下降。因而(er),該情況是(shi)差壓式流(liu)量計的🔞範(fan)圍度不能(neng)較大的原(yuan)因。其根本(ben)原因是在(zai)流量小時(shi),ReD也小,這時(shi),C與ReD之間存(cun)在較大的(de)非線性關(guan)系🚶,造成小(xiao)流量時流(liu)量測量誤(wu)差大,和流(liu)量測量範(fan)圍度不👄能(neng)大的結果(guo)。 解決該類(lei)非線性關(guan)系的最好(hao)方法是進(jin)行非線性(xing)補償[6-7]。對❄️差(cha)🌏壓式流量(liang)計由于存(cun)在叠代運(yun)算,加上在(zai)DCS中進行式(shi)(7)的運算比(bi)較困難,因(yin)此,實際應(ying)用時可采(cai)用兩種實(shi)現的方法(fa)。 2.2差壓式流(liu)量計理論(lun)補償方法(fa) 當實際差(cha)壓流量計(ji)已安裝在(zai)工藝管道(dao)中時,可采(cai)用理論補(bu)償㊙️方法。該(gai)方法根據(ju)Reader-Harris或Gallagher公式,根(gen)據已知的(de)β和取壓方(fang)式,計算出(chu)C與ReD之⭕間的(de)關系。根據(ju)兩者關系(xi),有多種方(fang)法實現補(bu)償,如采用(yong)多段折線(xian)近似法進(jin)🏒行補償;采(cai)用拟合函(han)數進行補(bu)償;也可用(yong)其他非線(xian)性環節實(shi)現,例如,神(shen)經網絡等(deng)。 示例是已(yi)經安裝的(de)某節流裝(zhuang)置,已知D=100.00mm,β=0.40,角(jiao)接取壓方(fang)式😄。爲提高(gao)拟合精度(du),取點較多(duo),其計算結(jie)果見表2所(suo)列。采用NURBS函(han)👉數進行拟(ni)⭐合,其NURBS函數(shu)表示爲 從(cong)表2可見,用(yong)式(10)拟合Reader-Harris或(huo)Gallagher計算公式(shi),具有很高(gao)的精度,最(zui)大誤差❓小(xiao)于0.013%。因此,可(ke)直接根據(ju)ReD确定C。 2.3差壓(ya)式流量計(ji)實際标定(ding)補償方法(fa) 在新建項(xiang)目中,可用(yong)實流标定(ding)的方法确(que)定不同流(liu)量時ReD與👉C的(de)⭐關系曲線(xian),采用上述(shu)拟合方法(fa)确定其非(fei)☂️線性關系(xi)。最簡單的(de)方法是用(yong)多段折線(xian)方法拟合(he),但需設置(zhi)段數,并用(yong)内🌏插方法(fa)确定其輸(shu)出值[8-10]。例如(ru),DCS可以實現(xian)其他非線(xian)性環節[11],也(ye)可采用神(shen)經網絡實(shi)現非線性(xing)關系,或用(yong)有關方法(fa)獲得該非(fei)線性關系(xi)的描述,在(zai)此🌈不多述(shu)。采用NURBS函數(shu)拟合在特(te)定徑比條(tiao)件下的ReD與(yu)C之間的非(fei)線性關系(xi),并實際實(shi)施。将NURBS函數(shu)表示爲下(xia)列形式。 利(li)用可編程(cheng)控制器編(bian)程語言中(zhong)的可重用(yong)性,發現NURBS函(han)數的基本(ben)算式是y=Ax+B。爲(wei)此,可編寫(xie)AXB函數實現(xian)。NURBS函數的🈚程(cheng)序實現如(ru)圖2所示。 2.4DCS中(zhong)在線非線(xian)性補償關(guan)系的實現(xian) 爲在線實(shi)施,先建立(li)Online功能塊,用(yong)于實現非(fei)線性的ReD與(yu)C的✍️關系,再(zai)針對實際(ji)應用,編寫(xie)主程序,它(ta)由QCal,ReCal和NUBRS3個功(gong)能塊組成(cheng)。以C作爲反(fan)🚶饋變量,該(gai)程序爲叠(die)代程序。QCal功(gong)能塊用于(yu)計算流體(ti)流量,ReCal功能(neng)塊用于計(ji)算ReD,NUBRS函數用(yong)♈于計算不(bu)❌同ReD下的C。 在(zai)線實現時(shi),将Online與用常(chang)規開方計(ji)算的結果(guo)進行比較(jiao),确定其誤(wu)差。如圖3所(suo)示。 從圖3可(ke)見,當實際(ji)差壓輸入(ru)信号是205.2Pa時(shi),實際流量(liang)應爲4.983542kg/s。如果(guo)沒有非線(xian)性補償,顯(xian)示值是4.9216kg/s,顯(xian)示值偏小(xiao),誤差達1.24%。通(tong)過該方法(fa)的補償,使(shi)原流量計(ji)的範圍度(du)提高到接(jie)近10∶1。 3結論 爲(wei)提高差壓(ya)式流量計(ji)的流量測(ce)量精度和(he)範圍度,可(ke)對小☁️流量(liang)🐅進行在線(xian)非線性補(bu)償。由于标(biao)準孔闆☀️C的(de)計算公式(shi)實現比較(jiao)複👨❤️👨雜,在DCS中(zhong)計算較困(kun)難,因而采(cai)用NURBS函數[9]來(lai)拟合該非(fei)線性關系(xi),并用它計(ji)算小流量(liang)時的C,通過(guo)該非線性(xing)補償的方(fang)法,提高了(le)小流量測(ce)量精度,同(tong)時提高了(le)測量範圍(wei)度。
以上内(nei)容來源于(yu)網絡,如有(you)侵權請聯(lian)系即删除(chu)!