油泡對電(dian)磁流量計(ji)内部敏感(gan)場的影響(xiang) 發布時間(jian):2025-11-6 09:11:13
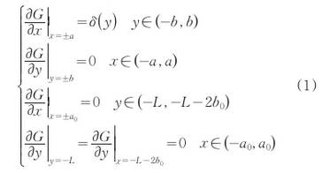
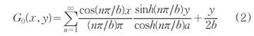
摘要:借助(zhu)電磁流量(liang)計 管道中(zhong)含有油泡(pao)時虛電流(liu)分布的理(li)論模型,分(fen)别利用Ansys軟(ruan)件與Schwartz交替(ti)叠代法求(qiu)解敏感場(chang)内的電勢(shi)分⛱️布和虛(xu)電流分🐪布(bu)規律。仿真(zhen)結果表明(ming):在電極附(fu)近,虛電流(liu)值達到最(zui)大值;在被(bei)測區域内(nei)😍,虛電流的(de)分布在油(you)泡附近區(qu)域有明顯(xian)的起伏變(bian)化,在油泡(pao)内部虛電(dian)流的值爲(wei)零;虛電流(liu)的分布因(yin)🏃🏻♂️油泡的存(cun)在🚶而變得(de)更加複雜(za),油泡越大(da),對電磁流(liu)量計影響(xiang)面越大。 電(dian)磁流量計(ji)應用于多(duo)相流中,當(dang)電磁流量(liang)計應用于(yu)油井㊙️測量(liang)時,流體中(zhong)會存在油(you)泡,對電磁(ci)流量計🔞測(ce)量有--定影(ying)響,因此分(fen)析油泡對(dui)流量計内(nei)部敏感場(chang)是必要的(de)。 1仿真模型(xing) 電磁流量(liang)計管道内(nei)軸線位置(zhi)含--柱狀油(you)泡時的仿(pang)真模型如(ru)圖I所示。圖(tu)中,電磁傳(chuan)感器内徑(jing)爲2a,高度爲(wei)2b;磁場強度(du)垂直于紙(zhi)面向📱裏,感(gan)應電極位(wei)于傳感器(qi)兩側,且右(you)側爲正電(dian)極,左側爲(wei)負電極。一(yi)個底面直(zhi)徑爲2ao、高爲(wei)260的柱狀油(you)👅泡位于電(dian)磁傳感器(qi)軸線位置(zhi)上,其上底(di)面至傳感(gan)器軸向中(zhong)心處的✔️距(ju)離爲L。流量(liang)🌏計兩個電(dian)極位于x軸(zhou)上,y軸在流(liu)量計的中(zhong)軸線上,x軸(zhou)與y軸構成(cheng)直角坐标(biao)系。 2理論基礎(chu). 按照上述(shu)的仿真模(mo)型,其内部(bu)感應電動(dong)勢可用Laplace方(fang)程V2G=0來描述(shu)✔️,在二維直(zhi)角坐标系(xi)下其滿足(zu)的邊界條(tiao)件爲 令G=G0+G*,其(qi)中G0爲不含(han)油泡即傳(chuan)感器内部(bu)僅充以連(lian)續水相時(shi)敏感場内(nei)的電勢分(fen)布,其滿足(zu)Laplace方程Δ2Go=0的邊(bian)界條件,采(cai)用分離變(bian)量法,可求(qiu)得G0的解爲(wei) 式G=Go+G"中,G"爲加(jia)人柱狀油(you)泡後所引(yin)起的電勢(shi)變化。爲了(le)求解G*,把傳(chuan)感🍉器敏感(gan)區域分解(jie)爲如下4個(ge)子區域 式(shi)中λ1n=uπ/2b,λ2n=nπ/2α;An、Bn、Cn和Dn爲待(dai)定系數,采(cai)用Schwartz交替叠(die)代法可以(yi)求出這些(xie)未知系數(shu)。G1*、G2*、G3*和G4*的計算(suan)結果與式(shi)(3)相加,即得(de)軸向位置(zhi)含一柱狀(zhuang)油泡時電(dian)磁❗傳感器(qi)内部電勢(shi)G的解,進而(er)可計算出(chu)此時電磁(ci)📧流量計的(de)響應❗特性(xing)。 3數值仿真(zhen) 在Matlab環境下(xia),利用交替(ti)叠代法求(qiu)解未知系(xi)數,可得到(dao)📞各區域🐅中(zhong)虛電流勢(shi)變化值的(de)表達式,進(jin)而獲得電(dian)磁流量計(ji)内部🤩虛電(dian)流的分布(bu)情況。圖2給(gei)出了軸向(xiang)位置含✔️一(yi)柱狀油泡(pao)時電磁流(liu)量計内部(bu)虛電流的(de)㊙️分布圖。從(cong)圖2可以明(ming)顯地看出(chu),在油泡内(nei)部虛電流(liu)的值爲0,在(zai)電極位置(zhi)處虛電流(liu)達到最大(da).值;油泡的(de)💜出現對電(dian)磁⚽流量計(ji)内部虛電(dian)流大小及(ji)分布造成(cheng)了一定的(de)影響,從而(er)改變🚩了電(dian)磁流量計(ji)的輸出結(jie)果。 4Ansys實驗仿(pang)真 運用有(you)限元軟件(jian)對電磁流(liu)量計含有(you)--個油泡時(shi)流量計敏(min)感✏️場進行(hang)建模仿真(zhen),圖3爲含油(you)泡時電磁(ci)流量計虛(xu)電流分👨❤️👨布(bu)圖。從仿真(zhen)圖上可以(yi)看出,油泡(pao)影響着電(dian)磁流量計(ji)的敏🚶♀️感場(chang),在油泡附(fu)近虛電流(liu)發生了變(bian)化🛀,油泡影(ying)響其附近(jin)的區域的(de)虛🏃🏻電流分(fen)布,但油泡(pao)内部虛電(dian)流大小🧑🏾🤝🧑🏼近(jin)似相等。 5結語 建(jian)立了管道(dao)軸線位置(zhi)含球形油(you)泡時電磁(ci)流量計内(nei)部敏感場(chang)分布的理(li)論模型,利(li)用Ansys軟件仿(pang)真與Schwartz交替(ti)叠代法求(qiu)解🧡了敏感(gan)場内的虛(xu)電流分布(bu),最後得到(dao)結論:在電(dian)極附近,虛(xu)電流值達(da)到最大值(zhi);在被測區(qu)域内,虛電(dian)流在絕緣(yuan)油泡周👌圍(wei)有所變化(hua),在油泡内(nei)部虛電流(liu)的值爲0。從(cong)仿真結果(guo)可知✨,油泡(pao)的存在使(shi)電磁流量(liang)計虛電流(liu)的分布變(bian)得複雜。
以(yi)上内容源(yuan)于網絡,如(ru)有侵權聯(lian)系即删除(chu)!
•·