欧美三级A做爰在线观看 渦街流量計的數字信号處理方法-江蘇省速惠自动化制造有限公司
 
  溫(wen)度儀表(biao)系列
  壓(ya)力儀表(biao)系列
  流(liu)量儀表(biao)系列
  校(xiao)驗儀表(biao)系列
  顯(xian)示儀表(biao)系列
  變(bian)送器儀(yi)表系列(lie)
  電線電(dian)纜系列(lie)
 
  電磁流(liu)量計的(de)工作🥰欧美三级A做爰在线观看💜原(yuan)理
  有(you)害氣體(ti)檢測報(bao)警儀選(xuan)用原則(ze)
 
 
  西安(an)交大研(yan)制出超(chao)高溫沖(chong)擊壓....
 
  智能(neng)溫度傳(chuan)感器的(de)發展趨(qu)勢
  簡述(shu)幾種氣(qi)體檢測(ce)傳感器(qi).....
  利用傳(chuan)感器技(ji)術制造(zao)智能服(fu)裝
  新型(xing)傳感器(qi)監控魚(yu)群數量(liang)
   
 
 電話(hua)(市場部(bu)):  
       
        
   (拓展部(bu)):
 傳真:
 郵(you)編:211600
 網址(zhi):/
    http://banyunshe.cc/
 E-mail:[email protected]
     [email protected]
 地址:江(jiang)蘇省金(jin)湖縣工(gong)業園區(qu)環城西(xi)
 路269号
 您(nin)現在的(de)位置 > 首(shou)頁 > 行業(ye)新聞 > 渦(wo)街流量(liang)計的數(shu)字信号(hao)處理方(fang)法
   

渦街(jie)流量計(ji)的數字(zi)信号處(chu)理方法(fa)
發布時(shi)間:2025-11-27

摘要(yao):流量是(shi)科研和(he)生産實(shi)踐中經(jing)常需要(yao)測量和(he)控⚽制的(de)過程參(can)數之一(yi),其測量(liang)的準确(que)程度直(zhi)接關系(xi)到生産(chan)質量、效(xiao)率🍉、經濟(ji)指标和(he)科研工(gong)作的成(cheng)敗。傳感(gan)器輸出(chu)信号中(zhong)包含着(zhe)周期性(xing)的流量(liang)信号,但(dan)同時也(ye)包含着(zhe)各種🌈噪(zao)聲。通過(guo)對傳感(gan)器的輸(shu)出信💞号(hao)采用具(ju)有功率(lü)譜分析(xi)功能的(de)快速傅(fu)利葉變(bian)換❓算法(fa)進行離(li)散分析(xi),計算出(chu)反🚩映流(liu)量速率(lü)的⛱️信号(hao)⛱️頻率。通(tong)過改變(bian)采樣頻(pin)率和頻(pin)譜校正(zheng)方法,提(ti)高測量(liang)系統的(de)精度并(bing)獲得精(jing)确的流(liu)量。
1.引言(yan)
  流體單(dan)位時間(jian)内流過(guo)管道或(huo)設備某(mou)橫截面(mian)處的數(shu)量稱爲(wei)流量。
  随(sui)着19世紀(ji)末城市(shi)供水系(xi)統和管(guan)道燃氣(qi)的建設(she),出現💋了(le)葉輪式(shi)水表、膜(mo)(皮囊)式(shi)煤氣表(biao)、文丘裏(li)管差壓(ya)式流㊙️量(liang)計✊等流(liu)量儀表(biao),20世紀二(er)三十年(nian)代又出(chu)現了孔(kong)闆和噴(pen)嘴節流(liu)的 差壓(ya)式流量(liang)計 浮(轉(zhuan))子流量(liang)計 和容(rong)積式流(liu)量計等(deng)基于力(li)學原理(li)的機械(xie)式流量(liang)儀㊙️表[1]。進(jin)入40年代(dai)以流程(cheng)工業和(he)城市公(gong)用事業(ye)爲先導(dao)的🌈工業(ye)社會,大(da)量使用(yong)流量儀(yi)表并提(ti)出各種(zhong)要求,促(cu)使不同(tong)測量原(yuan)理🥵的新(xin)穎流量(liang)儀🆚表問(wen)世和發(fa)展并進(jin)入工業(ye)應用。例(li)如:電學(xue)原理的(de)電磁流(liu)量計(50年(nian)代)、靜電(dian)場流量(liang)計(60、70年代(dai));聲學原(yuan)理的超(chao)聲流量(liang)計👅(70、80年代(dai));熱學原(yuan)理的熱(re)式質量(liang)流量計(ji)(60年代);光(guang)學原理(li)的激光(guang)流量計(ji)(70年⛷️代);力(li)學原理(li)的流🧑🏽‍🤝‍🧑🏻體(ti)振動流(liu)量計(渦(wo)街流量(liang)計 、旋渦(wo)進動流(liu)量計、射(she)流流量(liang)計,60、70年代(dai));利用科(ke)裏奧利(li)原理的(de)📱質量流(liu)量計(80年(nian)代)等。90年(nian)代以後(hou),雖然在(zai)國際♍流(liu)量測量(liang)學術會(hui)議見到(dao)♍一些新(xin)測量原(yuan)理儀表(biao)的論文(wen)[19],但很少(shao)見❄️到能(neng)達✏️到工(gong)業💋實用(yong)階段的(de)流量儀(yi)表投入(ru)市場,推(tui)入市✔️場(chang)的新型(xing)号儀表(biao)隻是在(zai)原測🎯量(liang)原理的(de)基礎上(shang)改進,擴(kuo)展應用(yong)領域,提(ti)高性能(neng)和🤩增加(jia)功能。[3]随(sui)✂️着工業(ye)生産的(de)自動化(hua)、管道化(hua)的發展(zhan),流量儀(yi)表在整(zheng)個儀表(biao)生🤟産中(zhong)所占比(bi)重越來(lai)越大[4]。據(ju)國内外(wai)資料表(biao)明,在不(bu)同的工(gong)業部門(men)中所使(shi)用的流(liu)量儀表(biao)占整個(ge)儀表總(zong)數的15%~30%[5]。
2.基(ji)于渦街(jie)流量計(ji)的信号(hao)處理研(yan)究
  數字(zi)信号處(chu)理(DigitalSignalProcessing)是一(yi)門涉及(ji)許多學(xue)科而又(you)廣泛應(ying)用🤞于🏒許(xu)多🔴領域(yu)的新興(xing)學科。數(shu)字信号(hao)處理就(jiu)是用數(shu)學的方(fang)🔴法,對信(xin)号的波(bo)🔴形進行(hang)變換。這(zhe)通常是(shi)将一個(ge)信号變(bian)換成在(zai)某種意(yi)義上比(bi)原始信(xin)号更符(fu)合要求(qiu)的另一(yi)種信号(hao)形式[6]。例(li)如,可以(yi)涉及一(yi)些變‼️換(huan)以分立(li)兩個或(huo)多個已(yi)☁️經按某(mou)種方式(shi)結合在(zai)一起的(de)信号;也(ye)可增強(qiang)一個信(xin)号的某(mou)一分量(liang)或參數(shu);或者是(shi)估算新(xin)号的一(yi)個或幾(ji)個參數(shu)[7]。
  數字信(xin)号處理(li)包括兩(liang)個方面(mian)的内容(rong):數字信(xin)号處✉️理(li)方法理(li)論和數(shu)字信号(hao)處理設(she)備。這兩(liang)個方面(mian),一個提(ti)🌈供方法(fa)原🈲理,一(yi)個提供(gong)實現手(shou)段,相輔(fu)相成,缺(que)一不可(ke)。在數字(zi)💃🏻信号處(chu)🐅理領域(yu)👉中,離散(san)時間線(xian)形非時(shi)變系統(tong)理論和(he)離散傅(fu)裏葉變(bian)換是整(zheng)☁️個領域(yu)的‼️理論(lun)基礎,數(shu)字濾波(bo)和頻♉譜(pu)分析是(shi)數字信(xin)号處理(li)的基本(ben)内容,二(er)維信号(hao)處理是(shi)正在發(fa)展的比(bi)較新的(de)領域,數(shu)字濾波(bo)及頻譜(pu)分析也(ye)有新的(de)内容和(he)發展[8]。20世(shi)紀60年代(dai)以來,随(sui)着計算(suan)機和信(xin)息技術(shu)的飛速(su)發展,數(shu)字🔞信号(hao)處理技(ji)術應運(yun)而生并(bing)得到迅(xun)速發😘展(zhan)。雖然數(shu)字信号(hao)處理的(de)理論發(fa)展迅速(su),但在20世(shi)紀80年代(dai)以前,由(you)于數字(zi)信号處(chu)理設備(bei)和實現(xian)方法的(de)♻️限制,數(shu)字信号(hao)處理的(de)理🔆論還(hai)得不到(dao)非常廣(guang)泛的應(ying)用[9]。
  科學(xue)技術的(de)蓬勃發(fa)展,爲數(shu)字信号(hao)處理學(xue)科的前(qian)進開辟(pi)🛀🏻了道路(lu)。數字信(xin)号處理(li)開始與(yu)大規模(mo)和超大(da)規模集(ji)成電路(lu)技術、微(wei)處理技(ji)術、高速(su)數字算(suan)術單元(yuan)、雙🐆極型(xing)高密度(du)半導體(ti)存儲器(qi)、電荷轉(zhuan)移器件(jian)☁️等新技(ji)術新工(gong)藝結合(he)起來,特(te)别是微(wei)處理器(qi)技術的(de)迅速發(fa)展和計(ji)算機輔(fu)助設計(ji)方法的(de)引進使(shi)得數字(zi)信号處(chu)㊙️理技術(shu)能夠實(shi)現并在(zai)檢測、控(kong)制領域(yu)發揮極(ji)其重要(yao)的作用(yong),在日常(chang)生活📱中(zhong)的作用(yong)也越來(lai)越大[10]。
2.1數(shu)字信号(hao)處理方(fang)法
  渦街(jie)流量傳(chuan)感器的(de)原始輸(shu)出爲夾(jia)雜大量(liang)噪聲的(de)類正弦(xian)信㊙️号,采(cai)用數字(zi)信号處(chu)理方法(fa)将時域(yu)信号❓轉(zhuan)換爲頻(pin)域信号(hao),從而測(ce)量得到(dao)流速信(xin)号頻率(lü)并通過(guo)換算得(de)到流體(ti)體積流(liu)量信息(xi)和質量(liang)流量信(xin)息[11]。
  在渦(wo)街流量(liang)計中存(cun)在且亟(ji)待解決(jue)的問題(ti)是量程(cheng)下限🈚的(de)限制💋,不(bu)能準确(que)測量低(di)流速信(xin)号實現(xian)量程比(bi)的提高(gao)。渦街流(liu)量傳感(gan)器采集(ji)回來的(de)信号中(zhong)摻雜着(zhe)許‼️多幹(gan)擾🔞信号(hao),特别是(shi)低流速(su)時💰幹擾(rao)信号非(fei)常大,甚(shen)至将流(liu)速信号(hao)淹沒其(qi)🚩中,這就(jiu)是小流(liu)量時💯不(bu)能準确(que)測量的(de)主要原(yuan)因之一(yi)[12]。選用💜适(shi)當的數(shu)字信号(hao)處理方(fang)法去除(chu)信号中(zhong)噪聲的(de)幹擾,最(zui)大程度(du)的複現(xian)流🌈速信(xin)号,是進(jin)行數字(zi)信号處(chu)理的主(zhu)要任務(wu)。
主要讨(tao)論應用(yong)以下兩(liang)種方法(fa):
1)利用數(shu)字濾波(bo)器對混(hun)有幹擾(rao)的信号(hao)進行濾(lü)波,複現(xian)原來😄的(de)流✉️速信(xin)号。
2)進行(hang)頻域分(fen)析,采用(yong)FFT算法,将(jiang)時域信(xin)号變換(huan)到頻域(yu)進行譜(pu)♊分析,得(de)到流速(su)結果[13]。
2.1.1數(shu)字濾波(bo)器
  數字(zi)濾波器(qi)是指完(wan)成信号(hao)濾波處(chu)理功能(neng)的,用有(you)限🏃精❓度(du)‼️算法實(shi)現的離(li)散時間(jian)線性非(fei)時變系(xi)統,其輸(shu)入是一(yi)組(由模(mo)拟信号(hao)取樣和(he)量化的(de))數字量(liang),其輸出(chu)是📧經過(guo)變化(或(huo)說處理(li))另一組(zu)數字量(liang)。它既可(ke)以用數(shu)字硬件(jian)裝配成(cheng)的一台(tai)完成給(gei)定運算(suan)的專用(yong)數字計(ji)算機,也(ye)可以将(jiang)所需要(yao)的運算(suan)編成程(cheng)序,讓通(tong)用計算(suan)機來執(zhi)行。特定(ding)數字濾(lü)波器具(ju)有穩定(ding)🌈性高、精(jing)度高、靈(ling)活性大(da)等優點(dian)。随着數(shu)字技術(shu)的發展(zhan),用數字(zi)技術實(shi)現🔞濾波(bo)器的功(gong)能越來(lai)🌈越受到(dao)人們的(de)注意✊和(he)廣泛應(ying)用[14]。
  數字(zi)濾波器(qi)從功能(neng)上分類(lei):可分爲(wei)低通濾(lü)波器、高(gao)通濾波(bo)器、帶通(tong)濾波器(qi)、帶阻濾(lü)波器。從(cong)濾波器(qi)的網絡(luo)結構或(huo)者從單(dan)位脈沖(chong)響應分(fen)類:可分(fen)爲IIR濾波(bo)器(即無(wu)限長單(dan)位沖激(ji)響應濾(lü)波器)和(he)FIR濾波器(qi)(即有限(xian)長單位(wei)沖激響(xiang)應濾🤞波(bo)器)。其傳(chuan)遞函數(shu)H(z)分别爲(wei):

  這兩類(lei)濾波器(qi)無論在(zai)性能上(shang)還是在(zai)設計方(fang)法上都(dou)有🐆着很(hen)⛷️大的區(qu)别。FIR濾波(bo)器可以(yi)對給定(ding)的頻率(lü)特性直(zhi)接進行(hang)設計,而(er)IIR濾波器(qi)目前最(zui)通用的(de)方法是(shi)👨‍❤️‍👨利用已(yi)經很成(cheng)熟的模(mo)拟濾波(bo)🔞器的設(she)計方法(fa)來進行(hang)設計的(de)[15]。
IIR濾波器(qi),即無限(xian)長單位(wei)沖激響(xiang)應濾波(bo)器,有以(yi)下特點(dian):
1)單位長(zhang)沖激響(xiang)應h(n)是無(wu)限長的(de);
2)系統函(han)數H(z)在有(you)限z平面(mian)(0<z<∞)上有極(ji)點存在(zai);
3)結構上(shang)存在輸(shu)出到輸(shu)入的反(fan)饋,也就(jiu)是結構(gou)上是遞(di)歸🌍型🚶‍♀️的(de)。
FIR濾波器(qi),即有限(xian)長單位(wei)沖激響(xiang)應濾波(bo)器,有以(yi)下特點(dian):
1)單位沖(chong)激響應(ying)h(z)在有限(xian)個n處值(zhi)不爲零(ling);
2)系統函(han)數H(z)在z>0處(chu)收斂,極(ji)點全部(bu)在z=0處(因(yin)果系統(tong));
3)結構上(shang)主要是(shi)非遞歸(gui)結構,但(dan)結構中(zhong)也含有(you)反饋的(de)☀️遞🐪歸🍓部(bu)🔞分。
2.1.2利用(yong)FFT算法進(jin)行數字(zi)處理
  在(zai)數字信(xin)号處理(li)中,最常(chang)用的變(bian)換方法(fa)是離散(san)傅立葉(ye)(DFT),它在數(shu)學解析(xi)方面與(yu)傅立葉(ye)變換(FT)有(you)着相似(si)的作用(yong)和性質(zhi),因而在(zai)離散信(xin)号分析(xi)與數字(zi)系統的(de)信号處(chu)理中占(zhan)有極其(qi)重要的(de)地位。它(ta)不僅建(jian)立了離(li)散時域(yu)與離散(san)頻域之(zhi)間的聯(lian)系,而且(qie)由于離(li)散傅立(li)葉變換(huan)存在周(zhou)期性,它(ta)還兼有(you)連續時(shi)域中傅(fu)立葉級(ji)數的作(zuo)用,與離(li)散傅立(li)葉級數(shu)(DFS)有着密(mi)切聯系(xi)[16]。因直接(jie)計算DFT的(de)計算量(liang)與變換(huan)區間長(zhang)度N的平(ping)方成正(zheng)比,當N較(jiao)大時,計(ji)算量太(tai)大。所以(yi)在快速(su)傅立葉(ye)變換出(chu)現以前(qian),直接用(yong)DFT算法進(jin)行譜分(fen)析和信(xin)号的實(shi)時處理(li)時不切(qie)實際的(de)[17]。
  1965年,J.W.Tuky和T.W.Cooly在(zai)《計算數(shu)學》(Math.Computation,Vol.19.1965)雜志(zhi)上發表(biao)了著名(ming)的“機器(qi)計算傅(fu)立葉級(ji)數的一(yi)種算法(fa)”,快速算(suan)法的出(chu)現使DFT算(suan)法與計(ji)算機上(shang)的結合(he)成爲了(le)現實[2]。1976年(nian)Winograd提出了(le)建立在(zai)數論與(yu)近代數(shu)學知識(shi)之上的(de)Winograd快速傅(fu)立葉變(bian)換算法(fa)(WFTA)。1984年,法國(guo)的和P.Dohamel和(he)H.Hollmann提出了(le)更有效(xiao)的分裂(lie)基快速(su)算法。這(zhe)些算法(fa)經人們(men)的改進(jin),很快形(xing)成一套(tao)高效的(de)運算方(fang)法,這就(jiu)是現在(zai)的快速(su)傅立葉(ye)變換,簡(jian)稱FFT(FastFourierTransform)。這種(zhong)算法使(shi)DFT的運算(suan)效率提(ti)高1-2個數(shu)量級[18]。
  在(zai)渦街流(liu)量計的(de)數字信(xin)号處理(li)中,采用(yong)了基2-DIT的(de)FFT算法。
  各(ge)種FFT算法(fa)可以分(fen)爲兩大(da)類:一類(lei)是針對(dui)N等于2的(de)整數次(ci)幂的算(suan)法,如基(ji)2算法、基(ji)4算法、混(hun)合基算(suan)法和分(fen)裂基算(suan)法等;另(ling)一類是(shi)N不等于(yu)2的整數(shu)次幂的(de)算法,它(ta)就是以(yi)Winograd爲代表(biao)的一類(lei)算法(素(su)因子算(suan)法,Winograd算法(fa))[7]。
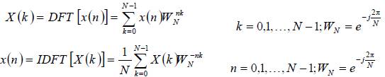
對有限(xian)任意序(xu)列可采(cai)用離散(san)傅立葉(ye)變換(簡(jian)稱DFT),它是(shi)利用計(ji)算機進(jin)行數值(zhi)計算的(de)變換,并(bing)且存在(zai)快速算(suan)法,從🔴而(er)使信号(hao)的實時(shi)處理和(he)設備的(de)簡化得(de)以實現(xian)。
  DFT的物理(li)意義是(shi)序列χ(n)的(de)N點DFT,是χ(n)的(de)Z變換在(zai)單位圓(yuan)上的點(dian)等間隔(ge)采🥰樣;X(k)爲(wei)χ(n)的離散(san)時間傅(fu)立葉變(bian)換X(ejω),在區(qu)間上的(de)點等間(jian)隔采樣(yang)。
DFT的定義(yi)式爲:

  由(you)上式可(ke)以看出(chu),要求出(chu)N點X(K)需要(yao)N2次複數(shu)乘法,N(N-1)次(ci)複🈲數加(jia)法。當N很(hen)大時,其(qi)計算量(liang)相當可(ke)觀。這對(dui)于實時(shi)信号處(chu)理來說(shuo),必須對(dui)計算速(su)度提出(chu)難以實(shi)現的要(yao)求。
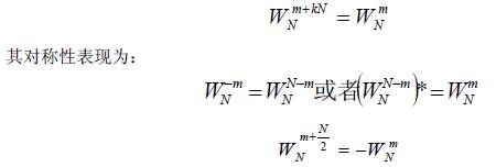
  如果(guo)能将一(yi)個長點(dian)數的DFT分(fen)解成多(duo)個短點(dian)數DFT的進(jin)行實現(xian),顯然,由(you)于N2的遞(di)減率,運(yun)算量大(da)大減少(shao),另外,旋(xuan)轉因子(zi)mNW有着明(ming)顯的周(zhou)㊙️期性(周(zhou)期爲N)和(he)對稱性(xing)。其周期(qi)性💛表現(xian)爲🏃🏻‍♂️:

  FFT之所(suo)以使運(yun)算效率(lü)提高就(jiu)是利用(yong)NW的對稱(cheng)性和周(zhou)期性,把(ba)長序列(lie)的DFT逐級(ji)分解成(cheng)幾個序(xu)列的DFT,以(yi)短點數(shu)實現長(zhang)點數⛱️變(bian)換。最常(chang)👄見的FFT算(suan)法是Cooley-tukey的(de)基2時間(jian)抽取算(suan)法。
FFT算法(fa)基本上(shang)可以分(fen)成兩大(da)類:按時(shi)間抽取(qu)DIT算法和(he)按頻率(lü)⛱️抽取DIF算(suan)法。前者(zhe)的每一(yi)部分都(dou)是按輸(shu)入序列(lie)在時間(jian)上的次(ci)序是偶(ou)☎️數還是(shi)奇數分(fen)解爲兩(liang)個更短(duan)的子序(xu)列;後者(zhe)則從序(xu)列入手(shou),把輸出(chu)序列按(an)🈲其順序(xu)是偶數(shu)還是奇(qi)數分解(jie)♻️爲越來(lai)越短的(de)子序列(lie)。兩者的(de)最終目(mu)的都是(shi)使用叠(die)代計算(suan)來簡化(hua)運算年(nian),減少運(yun)🌈算量。下(xia)面簡要(yao)給出算(suan)法的實(shi)現❗原理(li)和一般(ban)特✍️點,具(ju)體的推(tui)導💋和描(miao)述請參(can)考相關(guan)的資❌料(liao)[6]。
作爲例(li)子,給出(chu)一個8點(dian)基2時間(jian)抽取FFT算(suan)法的信(xin)号流圖(tu)。可🈚以看(kan)出,數據(ju)的流程(cheng)中存在(zai)着大量(liang)的蝶形(xing)運❌算單(dan)元。對于(yu)基2DIT-FFT算法(fa)🔆,蝶形💁運(yun)算基本(ben)公式爲(wei):

對于一(yi)個點輸(shu)入序列(lie),基2算法(fa)有以下(xia)特點:運(yun)算級數(shu)12M=logm+,每組蝶(die)形數爲(wei)(n/2M+1)?2m=n/2,其中m是(shi)級序數(shu),有m=0,1,…,(M?1)

3.渦街(jie)流量計(ji)信号處(chu)理系統(tong)硬件實(shi)現
渦街(jie)流量計(ji)中的壓(ya)電傳感(gan)器将所(suo)感受到(dao)的流量(liang)信号轉(zhuan)換成電(dian)信号,經(jing)過電荷(he)放大器(qi)、程控放(fang)大器和(he)抗混疊(die)濾波器(qi),送到A/D;A/D與(yu)DSP之間的(de)通信方(fang)式爲中(zhong)斷方式(shi)确保采(cai)樣數據(ju)的實時(shi)性。采樣(yang)數據在(zai)中斷服(fu)務程序(xu)中送入(ru)DSP數據緩(huan)沖區。DSP采(cai)用FIR濾波(bo)器和周(zhou)期圖譜(pu)分析方(fang)法對采(cai)樣數據(ju)進行濾(lü)波和譜(pu)分析;并(bing)在多次(ci)功率譜(pu)分析的(de)基礎上(shang),進行平(ping)均,确定(ding)出最大(da)功率譜(pu),得到它(ta)所對應(ying)的頻率(lü),即爲信(xin)号中有(you)用信号(hao)的中心(xin)頻率。DSP定(ding)時計算(suan)信号頻(pin)率,再根(gen)據儀表(biao)參數和(he)通過溫(wen)度、壓力(li)等補償(chang),可以得(de)到瞬時(shi)流量值(zhi)、流量信(xin)号頻率(lü)值,進而(er)得到流(liu)量等流(liu)量參數(shu),送入指(zhi)定數據(ju)緩沖區(qu),供LCD顯示(shi)。也可以(yi)通過累(lei)積計算(suan),給出累(lei)積流量(liang)[20]。

渦街流(liu)量計系(xi)統硬件(jian)結構圖(tu)
  渦街信(xin)号處理(li)系統的(de)硬件主(zhu)要由:DSP核(he)心控制(zhi)電路TMS320VC33、電(dian)荷⚽放🌈大(da)電路、程(cheng)控放大(da)電路、抗(kang)混疊濾(lü)波電路(lu)、A/D轉✂️換電(dian)路、數據(ju)存儲電(dian)路、液晶(jing)顯示電(dian)路及輸(shu)入輸出(chu)電路等(deng)組成,結(jie)👣構如圖(tu)3-1所示。
4.總(zong)結
  通過(guo)對渦街(jie)流量計(ji)信号處(chu)理系統(tong)各個重(zhong)要組成(cheng)部分和(he)最新成(cheng)果的讨(tao)論,簡明(ming)扼要的(de)指明了(le)渦街流(liu)量計信(xin)号處理(li)系統研(yan)究方向(xiang)和重要(yao)作用。

以(yi)上内容(rong)源于網(wang)絡,如有(you)侵權聯(lian)系即删(shan)除!

下篇(pian)文章: 水(shui)平井井(jing)下浮子(zi)流量計(ji)的研制(zhi) 上篇文(wen)章 淺談(tan)電磁流(liu)量計的(de)選型及(ji)應用
 

 
·
 ·