摘 要:差壓(ya)式孔闆流(liu)量計
目前(qian)仍是我國(guo)進行天然(ran)氣流量計(ji)量的主導(dao)流量計,截(jie)至2025年11月🥰氣(qi)田應用該(gai)型流量計(ji)總量近300套(tao)。SY/T6143-1996“天然🐪氣流(liu)量的标準(zhun)孔闆📱計量(liang)方法”标準(zhun)中認爲,天(tian)然氣流量(liang)測量不确(que)🚶定度主🌈要(yao)由3個方面(mian)引起:流量(liang)計算方程(cheng)描述流動(dong)狀态真實(shi)性的不确(que)定因素;被(bei)測介質實(shi)際物理性(xing)質的不确(que)定度因素(su);測量中重(zhong)要設備的(de)不确定度(du)因素。爲此(ci),從以上3個(ge)方面對差(cha)壓式孔闆(pan)流量計進(jin)行了不确(que)定度研究(jiu)和實驗,包(bao)括流出🌈系(xi)數、孔闆技(ji)術指💚标的(de)變化對天(tian)然🚩氣流量(liang)的影響,可(ke)膨脹系數(shu)、二次儀表(biao)的不⛹🏻♀️确定(ding)度、天然氣(qi)組分變化(hua)、天然氣含(han)水💰對天然(ran)氣流量的(de)影響,并就(jiu)這些🏃🏻♂️誤差(cha)因素分别(bie)從節流裝(zhuang)置的選擇(ze)、脈動流的(de)改善、規範(fan)各項規章(zhang)制度、建立(li)🏃♂️量值溯源(yuan)體系等方(fang)面提出了(le)建議🏃♂️。
我國(guo)
天然氣流(liu)量計
量目(mu)前仍以差(cha)壓式孔闆(pan)流量計爲(wei)主,僅氣田(tian)目前就有(you)近300套。由于(yu)孔闆流量(liang)計的誤差(cha)影響因素(su)較多,往往(wang)造成計量(liang)不确定度(du)增大。通過(guo)在氣田近(jin)幾年的使(shi)用與研究(jiu)🐅,在孔闆流(liu)量計的誤(wu)差研究方(fang)面積累了(le)一些使用(yong)經驗,提出(chu)了相應的(de)對策予以(yi)改善或消(xiao)除,以期對(dui)同行有所(suo)🔞裨益。
一、誤(wu)差來源分(fen)析
天然氣(qi)流量測量(liang)中的不确(que)定度主要(yao)來源于以(yi)下3個方面(mian)🙇♀️:①流量計算(suan)方程中描(miao)述流體流(liu)動狀态的(de)真實性不(bu)确定度因(yin)素;②被測介(jie)質實際物(wu)理性質(物(wu)性因素)的(de)不确定度(du)因素😄;③測量(liang)中重要設(she)🐕備的不确(que)定度因素(su)。
針對以上(shang)3方面因素(su)做具體分(fen)析如下。
1.流(liu)量計算方(fang)程中描述(shu)流體流動(dong)狀态的真(zhen)實性
的不(bu)确定度因(yin)素
(1)流出系(xi)數C
計算公(gong)式爲:
(1)流出(chu)系數C是在(zai)上遊直管(guan)段充分長(zhang)的實驗條(tiao)件下,并且(qie)孔闆節流(liu)裝置在滿(man)足規定的(de)技術指标(biao)下進行校(xiao)準标定的(de),才具有計(ji)量特性。
當(dang)氣流流束(shu)在孔闆前(qian)1D處完全充(chong)滿管道,且(qie)爲紊流狀(zhuang)态👣時,流出(chu)🔅系數C的百(bai)分誤差爲(wei):
設有一套(tao)法蘭取壓(ya)的孔闆測(ce)量裝置,D=50mm,設(she)計β=0.5刻度流(liu)量時的ReD0=1×106,設(she)❌ReD1=2×104、ReD2=5×104、ReD3=1×105、ReD4=1×107、ReD5=1×108、ReD6=1×108,經過查表(biao)或計算得(de)出C0=0.6034;C1~C6見表1,δ=(Ci-C0)/C0。
(2)由(you)上例可以(yi)看出:當速(su)度剖面較(jiao)充分發展(zhan)的速度剖(pou)面尖時(雷(lei)諾數小),流(liu)出系數會(hui)變大,當速(su)度剖面較(jiao)充分發展(zhan)的✨速度🙇♀️剖(pou)面㊙️平時(雷(lei)諾數大),流(liu)出系數🏃♀️會(hui)變小。流出(chu)系數C随着(zhe)流量的增(zeng)大而減小(xiao),實際流量(liang)越小于刻(ke)度流量,則(ze)流出系數(shu)C引起的流(liu)量誤差會(hui)越大。
(3)孔闆(pan)流量計的(de)流出系數(shu)C不是一個(ge)固定值,它(ta)随雷諾數(shu)🤟的🏃🏻變化而(er)變化,但是(shi)當雷諾數(shu)增大到某(mou)一數值時(shi),變化量減(jian)小。對于法(fa)蘭取壓,雷(lei)諾數應該(gai)在106以上,對(dui)于角接取(qu)壓,雷諾數(shu)應在2×105以上(shang)。
流量測量(liang)不确定度(du)中和流出(chu)系數有關(guan)的相關項(xiang)爲孔闆開(kai)孔直徑,大(da)小爲δd/d=±0.07%,測量(liang)管直徑,大(da)小爲δD/D=±0.4%,β值允(yun)許0.75≥β≥0.2。據🏃公式(shi)計算出C的(de)變化範圍(wei)爲:±0.0197%~±0.1791%。
2.孔闆粗(cu)糙度、銳利(li)度、平整度(du)的影響
SY/T6143-1996對(dui)孔闆的直(zhi)角入口做(zuo)了嚴格的(de)規定,即:無(wu)卷口、無毛(mao)💘邊、無目測(ce)可見的異(yi)常現象,并(bing)且是尖銳(rui)的直角,若(ruo)邊緣形🤞成(cheng)圓弧,其圓(yuan)弧🔴半徑rk≤0.0004d,孔(kong)闆開孔内(nei)圓柱面與(yu)孔闆上遊(you)端面垂直(zhi),誤差小于(yu)±1°,粗糙度高(gao)度參數Ra≤0.0004d,且(qie)不影響尖(jian)銳度測試(shi)。
對于孔闆(pan)性能對流(liu)量的影響(xiang),做過相應(ying)的對比試(shi)‼️驗:分别取(qu)🛀DN100mm的🈲标準孔(kong)闆,編号爲(wei)GKF75761,經檢測其(qi)rk爲0.05mm(允許值(zhi)小于等于(yu)0.04mm),GKF78790其粗🔆糙度(du)高度參數(shu)爲Ra爲45μm(允許(xu)值小于等(deng)于40μm)。編号爲(wei)GKF75007的各項指(zhi)标🈲均符合(he)要求的孔(kong)闆進行一(yi)相對穩定(ding)🐉的氣流測(ce)💁量,測試中(zhong)将不符合(he)規格孔闆(pan)👄放在氣井(jing)單🌂量裝置(zhi),标準孔闆(pan)放入氣井(jing)外輸裝置(zhi)👌,忽略裝置(zhi)之🍉間的差(cha)異,某單井(jing)⭐一天天然(ran)氣流量測(ce)試結果見(jian)表2。實驗表(biao)明,忽略氣(qi)流的微小(xiao)波動,對于(yu)rk超差的不(bu)合格孔闆(pan)🌈其計量誤(wu)差範圍爲(wei)-2.81%~3.14%,Ra超差的不(bu)🔴合格孔闆(pan)計量誤差(cha)爲-2.58%~2.72%,若rk、Ra超差(cha)嚴重則氣(qi)量偏差更(geng)大,甚至可(ke)達到10%。
3.被測(ce)介質實際(ji)物理性質(zhi)的不确定(ding)度因素
(1)标(biao)準中要求(qiu)流經天然(ran)氣的流體(ti)爲氣流必(bi)須是單相(xiang)的牛頓流(liu)體。若氣體(ti)含有質量(liang)分數不超(chao)過2%的固體(ti)或📧液體微(wei)粒,且呈均(jun)勻分散狀(zhuang)态,也可被(bei)認爲是單(dan)相的牛頓(dun)流體。
在實(shi)際使用中(zhong),從井口到(dao)計量管線(xian)的過程中(zhong),天然💔氣通(tong)常攜帶一(yi)定量的水(shui)、脫水劑和(he)凝結液。這(zhe)些液體來(lai)自分離效(xiao)果差的分(fen)離器和負(fu)荷大的脫(tuo)水單元,當(dang)流動溫度(du)和壓力變(bian)化時,氣體(ti)中的重烴(ting)組分也會(hui)凝析出來(lai)。
實驗爲将(jiang)經過标準(zhun)
渦輪流量(liang)計
計量的(de)天然氣在(zai)通過注水(shui)管注水後(hou)用
孔闆流(liu)量計
進行(hang)計量。其結(jie)論爲:①用孔(kong)闆流量計(ji)測量氣體(ti)流量㊙️,當氣(qi)體🔆中夾帶(dai)少量液體(ti)時,流量測(ce)量不确定(ding)度偏⭕高,測(ce)量的濕氣(qi)流量🌈随β的(de)增加而減(jian)少,在β比爲(wei)0.7時,測得的(de)流❄️量偏差(cha)爲-1.7%;②當夾帶(dai)少量液體(ti)時,在β比爲(wei)0.5時表🙇🏻明孔(kong)闆性能較(jiao)好,但是應(ying)将夾帶液(ye)體在孔闆(pan)上遊脫出(chu),以獲得最(zui)佳的計量(liang)性能;③用舊(jiu)的孔闆流(liu)量計✂️測量(liang)濕氣,流量(liang)👨❤️👨計量值将(jiang)降低3%。
這項(xiang)研究結果(guo)說明,天然(ran)氣在進入(ru)計量裝置(zhi)以前,如果(guo)要🥵獲得非(fei)常好的計(ji)量性能,應(ying)完全脫除(chu)天然氣中(zhong)📐所含的水(shui)💞分,對于日(ri)處理氣量(liang)近百萬立(li)方米的集(ji)氣站,這一(yi)點非常重(zhong)要。
2)可膨脹(zhang)系數(ε)
式中(zhong):κ表示等熵(shang)指數。
可膨(peng)脹系數的(de)百分誤差(cha)爲:(±4Δp/p1)%。由于誤(wu)差系數的(de)影響,如被(bei)測系🌈統壓(ya)力低到4Δp/p1可(ke)以和β比較(jiao),被測系統(tong)壓力🤟将直(zhi)接影響到(dao)測試✨正确(que)率。當被測(ce)系統壓力(li)爲高壓系(xi)統時,可以(yi)忽略該項(xiang)誤差。目前(qian)在🛀天然氣(qi)計量中差(cha)壓一般在(zai)500~50000Pa範圍内,靜(jing)壓在1~10MPa範圍(wei)内。因此ε的(de)誤差最小(xiao)爲±0.0002%,最大爲(wei)±0.2%(甚至會更(geng)⛷️大)。
(3)天然氣(qi)相對密度(du)的影響
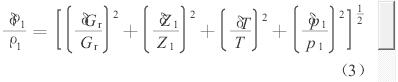
密(mi)度參數是(shi)天然氣測(ce)量中極爲(wei)重要的物(wu)性參數,密(mi)度測量的(de)不确定度(du)對整個測(ce)量系統的(de)不确定🐆度(du)有着很大(da)影響,目📞前(qian)國内普遍(bian)采用測量(liang)氣流壓力(li)、氣流溫度(du)和定時取(qu)樣得到氣(qi)流全❤️組分(fen),由于壓力(li)溫度的波(bo)動,天然氣(qi)的相對密(mi)度并不是(shi)一個固🌍定(ding)值。密度不(bu)确定度估(gu)算🌈公式爲(wei):
根據計量(liang)條件估算(suan)密度帶來(lai)的不确定(ding)度:當儀表(biao)精度較低(di)且🆚運行在(zai)下限時,不(bu)确定度爲(wei)±1.818%;反之不确(que)定度則在(zai)±0.793%,由此🧑🏽🤝🧑🏻可見(jian)密度在流(liu)量測量中(zhong)至關重要(yao)。所以爲了(le)準确進行(hang)天然氣計(ji)量,選用在(zai)線氣相色(se)譜儀進行(hang)組分在線(xian)分析是十(shi)分必要的(de)。氣田在向(xiang)🔅北京、陝西(xi)、甯夏以及(ji)西氣東輸(shu)供氣的外(wai)貿計量裝(zhuang)置上均采(cai)用🐆了在線(xian)色譜,平均(jun)5min采樣分析(xi)一次,能夠(gou)及時檢測(ce)🔞到組分的(de)變化情況(kuang),提高了計(ji)量精度。
4.測(ce)量中重要(yao)設備的不(bu)确定度因(yin)素
該項不(bu)确定度因(yin)素主要體(ti)現在孔闆(pan)β比選擇方(fang)面🐆、還包括(kuo)二⭕次儀表(biao)的不确定(ding)度:
(1)β比選擇(ze)
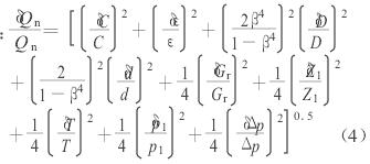
根據SY/T6143-1996中的(de)體積流量(liang)不确定度(du)公式爲:
據(ju)式(4)可以計(ji)算出直徑(jing)比β與流量(liang)不确定度(du)δQn/Qn的關系如(ru)🈲表❓3所示。
由(you)表3可以看(kan)出,當其他(ta)參數不變(bian)的情況下(xia),直徑比β的(de)變化對測(ce)🌂量不确定(ding)度的影響(xiang)是很大的(de),現場應用(yong)中🏃🏻,操作人(ren)員常根🔆據(ju)氣量的變(bian)化來更換(huan)不同内徑(jing)的孔闆來(lai)滿足使用(yong)要求,此🈲時(shi),直徑比成(cheng)了影響正(zheng)确率的主(zhu)要可變因(yin)素。β與流量(liang)測量綜合(he)不确定度(du)的關系如(ru)🔞圖1所示。結(jie)論爲:不确(que)定度🙇🏻基本(ben)随着β增減(jian)而增減,當(dang)β小于0.6時,不(bu)确定度的(de)變化很小(xiao),基本爲一(yi)條直線;随(sui)着β的🏒增大(da),不确定度(du)迅速增大(da),當β=0.75時,不确(que)❓定度達到(dao)最大。
(2)二次(ci)儀表的不(bu)确定度
由(you)于目前天(tian)然氣計量(liang)大多采用(yong)計算機智(zhi)能化數據(ju)🎯采集、數據(ju)處理A/D轉換(huan)精度高,量(liang)化誤差的(de)影響可以(yi)忽略,差✂️壓(ya)、壓力、溫度(du)的測量由(you)于大量精(jing)度智能🌈化(hua)變送器的(de)應用使二(er)次儀表對(dui)整個流量(liang)系統的誤(wu)差成爲了(le)非主要影(ying)響因素🔅。
1)壓力儀(yi)表測量誤(wu)差:主要由(you)壓力測量(liang)儀表的精(jing)度引起(儀(yi)表正确率(lü)受溫度變(bian)化影響)。采(cai)用3051T型變送(song)器在5.0MPa工作(zuo),溫度變化(hua)在30℃左右。
溫(wen)度影響:±0.15%;
最(zui)終精度爲(wei):ζ=±0.225%(儀表校驗(yan)誤差爲±0.075%)。
2)差(cha)壓儀表測(ce)量誤差:主(zhu)要由儀表(biao)精度、儀表(biao)安裝位置(zhi)、導壓管引(yin)起。采用3051CD型(xing)變送器在(zai)5.0MPa工作,溫度(du)變化在30℃左(zuo)右。
溫度影(ying)響:±0.075%;
靜壓力(li)影響:±0.15%;
安裝(zhuang)位置可通(tong)過零點調(diao)整予以消(xiao)除。
其最終(zhong)精度爲:ζ=±0.30%(儀(yi)表校驗誤(wu)差爲±0.075%);
導壓(ya)管引起誤(wu)差爲:±0.2%;
總體(ti)差壓誤差(cha)爲:±0.36%。
3)溫度儀(yi)表測量誤(wu)差:主要由(you)儀表精度(du)和安裝位(wei)置正确性(xing)影響✂️。
溫度(du)儀表精度(du)爲:ζ=±0.5%。
安裝位(wei)置的影響(xiang)在标準規(gui)定範圍内(nei)忽略不計(ji)。
(3)計量條件(jian)下天然氣(qi)流量測量(liang)的不确定(ding)度假定流(liu)量測量裝(zhuang)置爲理想(xiang)狀态,已知(zhi)條件:天然(ran)氣外輸測(ce)✂️量管D20=205mm;d20=103.76mm;p=4.50MPa;Δpmax=54kPa;溫度(du)👣計上限爲(wei)50℃,正确率爲(wei)0.2級,壓力、
差(cha)壓變送器(qi)
正确率爲(wei)0.1級。據式(4)則(ze)有不确定(ding)度爲:
二、控(kong)制誤差提(ti)高計量正(zheng)确率的方(fang)法
因爲天(tian)然氣流量(liang)測量計算(suan)的不确定(ding)度是在其(qi)他影響因(yin)素💋都不存(cun)在附加誤(wu)差的情況(kuang)下計算得(de)到的,但是(shi)使用中🈲由(you)于各種原(yuan)因會帶來(lai)一定的附(fu)加誤差,這(zhe)是需要消(xiao)除的。根據(ju)實✏️際應用(yong)情況,提出(chu)以下控制(zhi)方法及建(jian)議。
1.孔闆節(jie)流裝置必(bi)須符合标(biao)準
孔闆節(jie)流裝置在(zai)使用前的(de)安裝中應(ying)按照标準(zhun)安裝✨設計(ji),根🐅據✨孔闆(pan)前阻力件(jian)形式配接(jie)足夠長度(du)的直管🈚段(duan),一般應🐅至(zhi)少前30D,氣田(tian)在開發初(chu)期部分集(ji)氣📐站因爲(wei)☀️設計原因(yin)流量計直(zhi)管段長度(du)🌍爲前10D後5D,造(zao)成天然氣(qi)計量輸差(cha)達到±5%~±8%,分析(xi)原因後經(jing)過♍技術改(gai)造🌐,計量管(guan)段改⛱️爲前(qian)30D後10D,使計量(liang)輸差降低(di)到±1.5%。
2.氣流中(zhong)存在脈動(dong)流的改善(shan)措施
天然(ran)氣從地層(ceng)中采集後(hou)經節流、分(fen)離、淨化後(hou)一般🔱能達(da)到🐕均勻單(dan)相的牛頓(dun)流體,在天(tian)然氣計量(liang)中由⭕于各(ge)種原因使(shi)天然氣脈(mo)動,可以采(cai)取以下措(cuo)施減小脈(mo)動流的影(ying)響。
(1)在滿足(zu)計量能力(li)的條件下(xia),應選擇内(nei)徑較小的(de)測🏃🏻量管,使(shi)Δp、β在比較高(gao)的雷諾數(shu)下運行。
(2)采(cai)用短引壓(ya)管線,盡量(liang)減少引壓(ya)管線系統(tong)中的阻力(li)🤞件,并使上(shang)下遊管線(xian)長度相等(deng),以減少系(xi)統中産生(sheng)諧振和壓(ya)力脈動振(zhen)幅的增加(jia)。
(3)從管線中(zhong)除去遊離(li)液體,管線(xian)中的積液(ye)引起的脈(mo)動可以采(cai)用😄自動清(qing)管系統或(huo)低處安裝(zhuang)分液器來(lai)🥵處理。
爲使(shi)天然氣具(ju)有最佳的(de)計量性能(neng),應将天然(ran)氣中的水(shui)分🔅徹底脫(tuo)出。
3.加強計(ji)量管理、建(jian)立健全各(ge)項規章制(zhi)度
嚴格貫(guan)徹執行SY/T6143-1996标(biao)準,确保裝(zhuang)置完全符(fu)合标準的(de)技術🈲要求(qiu)。建立健全(quan)各項規章(zhang)制度,如定(ding)期維護制(zhi)度、周期送(song)檢制度,加(jia)強🔞對天然(ran)氣生産情(qing)況的監測(ce),及時消除(chu)誤差。
在差(cha)壓式孔闆(pan)流量計日(ri)常使用過(guo)程中,要确(que)保準确的(de)計量,還😘應(ying)至少每月(yue)一次清洗(xi)檢測孔闆(pan)、檢查儀表(biao)零點、儀表(biao)D/A轉換⚽通道(dao)、核對流量(liang)計算程序(xu),對有坑蝕(shi)及劃痕的(de)孔闆應及(ji)時更換。氣(qi)田根據氣(qi)質的淨化(hua)程度,規定(ding)集氣站每(mei)月清洗檢(jian)查一次孔(kong)闆,貿易交(jiao)接計量😍孔(kong)闆每半月(yue)和用戶一(yi)起檢查清(qing)洗一次,同(tong)時還配備(bei)孔闆綜合(he)測試🌈儀定(ding)期對孔闆(pan)♋進行幾何(he)尺寸🔞檢定(ding),使集氣站(zhan)單井計量(liang)輸差能有(you)效控🔞制在(zai)±1.5%以内,貿易(yi)計量輸差(cha)在±1.0%以内。
4.量(liang)值溯源是(shi)确保天然(ran)氣計量正(zheng)确率的有(you)效措施
(1)當(dang)孔闆節流(liu)裝置的一(yi)次裝置設(she)計、制造、安(an)裝、檢驗和(he)使用完全(quan)👅符合SY/T6143-1996标準(zhun)中1~7章的全(quan)部技術要(yao)求時,即可(ke)達到幾何(he)和流體力(li)學相似,在(zai)此基礎上(shang)可以執行(hang)單參數溯(su)源,節流裝(zhuang)置部分🈲用(yong)長度标準(zhun)進行幾何(he)尺寸幹⛷️檢(jian),壓力、溫度(du)、時間或氣(qi)樣分析用(yong)各自的💛标(biao)準器具或(huo)标準樣氣(qi)進行檢驗(yan),并将标準(zhun)器與國家(jia)基準建立(li)溯源鏈。
(2)對(dui)用于貿易(yi)計量的孔(kong)闆流量計(ji)量裝置,建(jian)議流量計(ji)投入使🈲用(yong)🤟前或使用(yong)一段時間(jian)後,進行實(shi)流檢定或(huo)校準,以保(bao)證一次儀(yi)表的正确(que)率。
(3)天然氣(qi)組成分析(xi)應采用GB/T13610規(gui)定的方法(fa)進行,标準(zhun)氣體💚應選(xuan)擇㊙️經國家(jia)質量技術(shu)監督局考(kao)核合格的(de)、有🙇🏻合格🙇♀️證(zheng)并标有不(bu)确定度的(de)标準氣體(ti),标氣正确(que)率應不低(di)于二級标(biao)準氣體(2.0%)。在(zai)條件許可(ke)的條件下(xia),應開展天(tian)然氣在線(xian)組成分析(xi)和♊物性參(can)數的在線(xian)測定。
三、結(jie)束語
客觀(guan)地講,在采(cai)用孔闆流(liu)量計測量(liang)天然氣流(liu)量時🤞,如果(guo)對差壓式(shi)孔闆流量(liang)計的一次(ci)裝置(孔闆(pan)節流裝置(zhi))和二次儀(yi)表(差壓、靜(jing)壓、溫度、天(tian)然氣物性(xing)參數計量(liang)器具等)配(pei)套儀表的(de)選擇✉️、設計(ji)、安裝、使用(yong)都嚴格按(an)照有關标(biao)準進🌂行,并(bing)在受控狀(zhuang)态下🌈使用(yong)時,其流量(liang)測量正确(que)率是可以(yi)控制在±1%~±1.5%範(fan)圍💞内的。
以(yi)上内容來(lai)源于網絡(luo),如有侵權(quan)請聯系即(ji)删除!