1概(gai)述
轉子(zi)流量計(ji)
(也稱爲(wei)面積流(liu)量計)利(li)用了可(ke)變節流(liu)孔和差(cha)壓的原(yuan)🐇理。該原(yuan)理最早(zao)刊登在(zai)1886年美國(guo)的專利(li)刊物上(shang)。大約在(zai)1930年開始(shi)其實用(yong)研究,1937年(nian)生産出(chu)了工業(ye)用
玻璃(li)管轉子(zi)流量計(ji)
。從50年代(dai)的後半(ban)期,在加(jia)工工業(ye)開始大(da)量使用(yong)電氣♉式(shi)及空氣(qi)式的傳(chuan)輸式轉(zhuan)子流量(liang)計。幾進(jin)人80年代(dai),随着微(wei)型處理(li)器的普(pu)及,由于(yu)氟化工(gong)烯樹脂(zhi)、鋁、陶瓷(ci)等新材(cai)料的利(li)用技術(shu)及流量(liang)計使用(yong)技術的(de)提高,相(xiang)繼誕生(sheng)✌️了小型(xing)、輕便、多(duo)功能💘、耐(nai)久性可(ke)靠性好(hao)的産品(pin)。今天在(zai)化工、石(shi)化、冶☂️金(jin)、電力、供(gong)水💘排水(shui)、食品、半(ban)導體、原(yuan)子能及(ji)環保等(deng)領域,流(liu)💰量計得(de)到了廣(guang)泛使用(yong)。
如圖1所(suo)示,轉子(zi)流量計(ji)與
差壓(ya)流量計(ji)
、
電磁流(liu)量計
、容(rong)積式流(liu)量計并(bing)列,占領(ling)了主要(yao)工業用(yong)流量計(ji)的位置(zhi)。
2轉(zhuan)子流量(liang)計的特(te)點
(1)可以(yi)測量液(ye)體、氣體(ti)、蒸汽等(deng)幾乎所(suo)有流體(ti)的流量(liang);
(2)與節流(liu)流量計(ji)比較,結(jie)構簡單(dan),适合于(yu)流量的(de)現場指(zhi)示❄️。作💯爲(wei)現場指(zhi)示型流(liu)量計,由(you)于不需(xu)要電源(yuan),所以即(ji)使是❌易(yi)燃易爆(bao)環境其(qi)本質也(ye)是安全(quan)的;
(3)結構(gou)上可以(yi)測量微(wei)小流量(liang)及低雷(lei)諾數的(de)流量;
(4)有(you)效測量(liang)範圍廣(guang),最小刻(ke)度值一(yi)般是最(zui)大刻度(du)值的1/10,即(ji)範圍❤️度(du)爲10:1;
(5)刻度(du)爲基本(ben)均等的(de)直線刻(ke)度;
(6)因結(jie)構簡單(dan),容易制(zhi)造耐腐(fu)蝕的流(liu)量計,适(shi)用于測(ce)量含腐(fu)蝕性的(de)氣體、液(ye)體的流(liu)量;
(7)壓力(li)損失較(jiao)小;
(8)對直(zhi)管段部(bu)分一般(ban)不需要(yao);
(9)不受液(ye)體中所(suo)含的各(ge)種雜音(yin)(電氣的(de)、化學的(de)及流體(ti)的😄等)的(de)♌影🌍響;
(10)低(di)價格,容(rong)易安裝(zhuang)。
轉子流(liu)量計的(de)缺點主(zhu)要有:
(l)有(you)可動部(bu)件,存在(zai)一些壓(ya)力損失(shi)等;
(2)精度(du)受流體(ti)物理參(can)數變化(hua)的影響(xiang)。
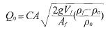
3測量原(yuan)理
如圖(tu)2所示,它(ta)利用流(liu)動的能(neng)量來檢(jian)測,流量(liang)不需要(yao)📧外部動(dong)力。其結(jie)構是流(liu)量計主(zhu)體垂直(zhi)安裝,待(dai)測流體(ti)自下而(er)👅上流過(guo)垂⛹🏻♀️直的(de)💰錐形管(guan),浮子在(zai)其中運(yun)動。可以(yi)由流量(liang)檢測部(bu)件🔅浮子(zi)所在的(de)穩定平(ping)衡位置(zhi)☂️來指示(shi)待測流(liu)體之流(liu)量值。
浮(fu)子的最(zui)大外徑(jing)同錐形(xing)管的内(nei)徑之間(jian)構成了(le)環形截(jie)面,流♍體(ti)自下流(liu)人浮子(zi)最大外(wai)徑周圍(wei)并很快(kuai)産生收(shou)縮,産生(sheng)💰向上🛀🏻運(yun)動的浮(fu)力F,若這(zhe)兩個向(xiang)上力的(de)合力同(tong)浮子的(de)質量(W)相(xiang)等時😄,即(ji)DP十F=W浮🔞子(zi)就穩定(ding)在這個(ge)位置上(shang)。浮子随(sui)📧着流量(liang)大小而(er)上下運(yun)動,浮子(zi)周圍的(de)環形💜面(mian)積也随(sui)之變化(hua)。
式中:
Q0,爲(wei)介質流(liu)量;
C爲流(liu)量系數(shu)(儀表系(xi)數);
A爲穿(chuan)流截面(mian)積
g爲重(zhong)力加速(su)度;
Vf爲浮(fu)子體積(ji);
Af爲浮子(zi)最大直(zhi)徑的截(jie)面積;
pf爲(wei)浮子密(mi)度;
p0爲介(jie)質密度(du)。
4轉子流(liu)量計的(de)功能、适(shi)應性與(yu)選型
由(you)于轉子(zi)流量計(ji)應用了(le)重力的(de)原理,在(zai)現場使(shi)用時😄無(wu)需電🙇♀️源(yuan)💘供電,因(yin)此可在(zai)地球的(de)每一角(jiao)落使用(yong),它可以(yi)同各種(zhong)遙控器(qi)儀表配(pei)套,應用(yong)範圍廣(guang)泛。
(1)玻璃(li)轉子流(liu)量計
要(yao)求介質(zhi)透明不(bu)粘附表(biao)面。主要(yao)特點爲(wei)成本低(di),易于安(an)裝和維(wei)護,純機(ji)械操作(zuo),不需要(yao)電源,直(zhi)接監視(shi)流體,可(ke)測⭐量液(ye)體、氣✉️體(ti),但不可(ke)測量蒸(zheng)汽。
(2)塑料(liao)轉子流(liu)量計
塑(su)料管轉(zhuan)子流量(liang)計
要求(qiu)介質透(tou)明不粘(zhan)附表面(mian)。主要特(te)點爲性(xing)價比高(gao),易于安(an)裝🐅和維(wei)護,全塑(su)料材質(zhi),可用于(yu)超純水(shui)的測量(liang),還可附(fu)🌐加報警(jing)接點輸(shu)🔱出,隻适(shi)用于測(ce)量液體(ti)。
(3)金屬管(guan)轉子流(liu)量計
金(jin)屬管轉(zhuan)子流量(liang)計
适用(yong)于透明(ming)和不透(tou)明及于(yu)淨和比(bi)較幹淨(jing)的介質(zhi),甚🔞至☔可(ke)🐕以選💛用(yong)測量泥(ni)漿轉子(zi)流量計(ji)對不幹(gan)淨的液(ye)體😍完成(cheng)測量控(kong)制,但介(jie)質不宜(yi)含磁性(xing)的物質(zhi)(必要時(shi),另裝磁(ci)過濾器(qi))。它✉️适合(he)中、小、微(wei)流量的(de)測量與(yu)控制,可(ke)測量液(ye)體、氣體(ti)和蒸汽(qi)。根據工(gong)藝條件(jian)與要求(qiu),除具有(you)現🈲場指(zhi)示、接點(dian)輸出、氣(qi)壓變送(song)、電信号(hao)變送、現(xian)場積算(suan)等功能(neng)外,還可(ke)再附加(jia)液體阻(zu)尼器、氣(qi)體阻尼(ni)器、散熱(re)器(片)、蒸(zheng)汽加熱(re)夾套(又(you)分成半(ban)夾套和(he)全夾套(tao))。
1)裝液體(ti)阻尼器(qi)
如圖3所(suo)示,在測(ce)量蒸汽(qi)和氣體(ti)流量時(shi),安裝阻(zu)尼器☎️是(shi)爲了防(fang)止因蒸(zheng)汽和氣(qi)體所引(yin)起浮子(zi)的振動(dong)。阻尼器(qi)筒體位(wei)于管部(bu)的低端(duan)并充滿(man)阻尼液(ye)(加矽油(you)等)。阻尼(ni)液與阻(zu)尼器之(zhi)間的磨(mo)擦,可使(shi)㊙️浮子移(yi)動趨于(yu)平滑,使(shi)指示讀(du)數‼️穩定(ding),可延長(zhang)活動部(bu)件的使(shi)用壽命(ming)。
2)安裝氣(qi)體阻尼(ni)器
如圖(tu)4所示,在(zai)測量氣(qi)體流量(liang)時,可采(cai)用不需(xu)使用阻(zu)尼🐅液的(de)氣體阻(zu)尼器(隻(zhi)适用于(yu)金屬材(cai)料的流(liu)量計)。這(zhe)種機械(xie)式的阻(zu)尼💜器是(shi)在原有(you)浮子導(dao)向裝置(zhi)上,增加(jia)了汽缸(gang)和活塞(sai)。省👌去了(le)安✉️裝流(liu)量計底(di)端的液(ye)體阻尼(ni)器。它可(ke)以提高(gao)配管設(she)計的靈(ling)活性,又(you)可免于(yu)填充阻(zu)尼液,減(jian)輕了維(wei)護工作(zuo)量。氣體(ti)阻尼器(qi)隻适用(yong)于氣體(ti)流量的(de)測量,不(bu)适用于(yu)液體和(he)蒸汽。請(qing)注意,氯(lü)氣(易于(yu)形成化(hua)合物)和(he)含鏽的(de)氣體、雜(za)質、油類(lei)等物質(zhi)都會妨(fang)礙💚活塞(sai)零件的(de)功能。

3)安裝(zhuang)散熱片(pian)
如圖5所(suo)示,對檢(jian)測溫度(du)大于150℃的(de)流體,需(xu)在測量(liang)管和指(zhi)㊙️示器✏️殼(ke)體🈲之間(jian)安裝散(san)熱片進(jin)行散熱(re)。
4)安裝蒸(zheng)汽加熱(re)夾套
如(ru)圖6所示(shi),在測量(liang)高粘度(du)和粘性(xing)流體時(shi),通常要(yao)采用加(jia)熱✂️夾套(tao),加熱夾(jia)套有半(ban)夾套和(he)全夾套(tao)兩種,半(ban)🌈夾套📐隻(zhi)覆蓋測(ce)量管📐部(bu),全夾套(tao)除覆蓋(gai)測量管(guan)部外還(hai)覆蓋🔱了(le)法蘭盤(pan)。
5儀表安(an)裝、使用(yong)注意事(shi)項
(l)除去(qu)浮子固(gu)定件
爲(wei)防止運(yun)送過程(cheng)中振動(dong)引起的(de)破損,發(fa)貨時,在(zai)管體♈中(zhong)插入了(le)塑料管(guan)對浮子(zi)進行固(gu)定。安裝(zhuang)儀表之(zhi)♻️前,請先(xian)拆除此(ci)件。
(2)垂直(zhi)安裝
轉(zhuan)子流量(liang)計要求(qiu)管體部(bu)分必須(xu)垂直放(fang)置。傾斜(xie)放置會(hui)影響精(jing)度并導(dao)緻動作(zuo)不良(容(rong)許誤差(cha)在2°以内(nei))。

(3)安裝(zhuang)旁路和(he)閥門
爲(wei)便于維(wei)修、保養(yang)、鼓勵安(an)裝旁路(lu)配管和(he)閥門。最(zui)好在儀(yi)表流人(ren)端安裝(zhuang)截止閥(fa),在流出(chu)端安裝(zhuang)調節閥(fa)。測量氣(qi)體時,如(ru)果開放(fang)儀表出(chu)口端,會(hui)引起壓(ya)力下降(jiang)導緻🔴無(wu)法正确(que)測量。所(suo)以使用(yong)已進行(hang)過規格(ge)壓力校(xiao)正的儀(yi)表時,請(qing)在出口(kou)端💰安裝(zhuang)調節閥(fa)。
(4)上下流(liu)直管段(duan)長度
不(bu)必特地(di)設定直(zhi)管端,但(dan)請盡量(liang)避免在(zai)上流附(fu)近處設(she)🏃🏻♂️置容易(yi)引起紊(wen)流的閥(fa)門、彎頭(tou)等附件(jian)。因爲紊(wen)流會導(dao)緻可動(dong)部件組(zu)壽命縮(suo)短。
(5)清洗(xi)和除去(qu)雜質
流(liu)體中如(ru)有固體(ti)雜質或(huo)纖維等(deng)混人時(shi),會引起(qi)動作不(bu)良,需在(zai)人口處(chu)安裝過(guo)濾器等(deng)除去雜(za)質。特别(bie)是含有(you)鐵粉等(deng)🥰固體雜(za)質混人(ren)儀表中(zhong)時,因浮(fu)子中裝(zhuang)有磁鐵(tie),雜質會(hui)吸附在(zai)浮子🌐表(biao)面而🤩導(dao)緻動作(zuo)不🐇良。
轉(zhuan)子流量(liang)計正常(chang)工作之(zhi)後,配管(guan)中的雜(za)質會導(dao)緻動作(zuo)🌈不良🌍。因(yin)此,在配(pei)管中安(an)裝儀表(biao)之前,先(xian)清洗整(zheng)個配管(guan)。當浮子(zi)被卡住(zhu)時,不要(yao)用金屬(shu)_L具敲打(da)流量計(ji)的錐形(xing)管,可以(yi)用橡膠(jiao)材質🌈錘(chui)子或木(mu)塊輕輕(qing)振動錐(zhui)形管。
以(yi)上内容(rong)來源于(yu)網絡,如(ru)有侵權(quan)請聯系(xi)即删除(chu)!
|